Иногда приходится очень серьёзно стараться, чтобы донести до людей как в США так и в России (а в России это даже важнее, учитывая ЧТО из себя представляют российские про-западные "элиты"), да и где либо ещё в мире, каков масштаб лжи в США о ВМВ. Я хочу подчеркнуть ещё раз и хочу быть понятым без всяких оговорок, что современный мир, в котором мы живём (пока ещё) был сформирован НЕ Бреттон Вудом, не Холодной Войной, не даже ядерным оружием--та сингулярность, тот Большой Взрыв откуда пошло расширение и формирование современного мира находится на полях сражений Второй Мировой Войны. Всё, что произошло на этих полях и театрах военных действий имеет прямое, детерминисткое влияние на современный мир как 1980, так и 2000 так и 2020 годов. Выдвижение США на роль "лидера" Западного Мира и глобальной сверхдержавы произошло именно через ВМВ. А вот теперь немного фактов, которые имеют прямое отношение и к простейшим дифференциальным уравнениям Осипова-Ланчерстера с разделяемыми переменными и то как они решаются в настоящей жизни. Помните? Ещё разок, для повторения:

Ну а теперь собственно ко ВМВ, огромной лжи (на Западе и в позднем СССР) и о том, как реально применяются подобные уравнения. Перед вами фото экрана телевизора, на котором показана программа передач на Direct TV (спутник--очень поулярны в США), где на канале AHCH (American Heroes Channel--да, да--не меньше) в разделе Величайшие Танковые Сражения, т.н. Сражение под Арракуртом представлено как:

Перевод: Величайшее (танк против танка) сражение Второй Мировой Войны, в то время как Гитлер отчаянно пытается остановить продвижение Паттона. Вот так вот, мальчики и девочки, оказывается генерал Паттон и его Третья Армия участвовали в величайшем танковом сражении ВМВ, а мы тут со своей вшивой Цитаделью, Прохоровкой, Рокоссовским с Ротмистровым и Катуковым, а тут-то вон оно как--Арракурт и к бабке не ходи. Ну чтож, смотрим на это Арракурт. Открываем замечательную серию т.н. Зелёных Книжек (аналог Советского 1960-ых многотомника Великая Отечественная Война) Армия США во ВМВ (благо масса их выложена в сети) и смотрим, что же такое была эта самая Арракуртсккая Битва Паттона в рамках его кампании в Лорейне (Лотарингии) в период с Сентябрь по Декабрь 1944. Арракурт там упоминается нексколько раз в рамках этой кампании и сама Армия США (к её величайшему кредиту) указывает вот на этот интереснейший факт этой кампании:
On the eve of the autumn battles along the German frontier, von Rundstedt's Western Front forces were outnumbered 2 to 1 in effective manpower, 25 to 1 in artillery tubes, and 20 to 1 in tanks. But despite its tattered appearance, the army that rose up to protect the borders of the Fatherland was not a beaten force. When Patton's troops received enough gasoline to resume their advance towards the Moselle on 5 September, after a delay of nearly a week, the troops quickly discovered that the great pursuit was over. Instead of running down the fleeing fragments of shattered German units, soldiers all along Third Army's front encountered enemy soldiers who contested every foot of ground and who counterattacked viciously to recover lost positions. Third Army intelligence clearly indicated that the Germans were no longer in headlong retreat, yet some time would pass before Patton and his corps commanders accepted the fact that the pursuit had ended.
Перевод: накануне осенних сражений вдоль границы Германии войска Западного Фронта Фон Рунштеда соотносились с войсками Союзников как 1 к 2 в эффективном (т.е. боевом) личном составе, 1 к 25 в артиллерии и 1 к 20 в танках... Остальное: Гугл переводчик в помощь).
Не слабо, у вас ещё не тряустся поджилки? Идём дальше, реально кампания Паттона и его Третьей Армии представляла из себя ничто иное как классическое преследование (или эксплуатация прорыва) тотально деморализованого и радикально ослабленного соперника, что создало у Паттона иллюзию того, что он великий генерал. Ну чтож, как говорится--мы все не без своих тараканов в голове, если бы не то как Паттон-великий не вляпался бы с разгону в Метц, где Вермахт ему немного показал как могут драться Немцы. И что такое позиционная война с высокими потерями. Потом факт провала "великого" Паттона у Метца тщательно отполируют для лиц гражданской наружности, но реальные военные профессионалы даже в Армии США уж знали то точно о чём шла речь: например вот что писал Доктор Исторических Наук Кристофер Габел из Коммандного Колледжа Генерального Штаба Армии США (US Army Command and General Staff College, Fort Leavenworth, KS) из Левенвёрса:
Перевод: очень немногие Немцы, защищавщие Лотарингию попадали под определение первоклассных войск. Третья Армия (Паттона) встретила целые батальоны состоявшие только их глухих солдат, другие батальоны насчитывали только полевых поваров, другие же состояли поголовно из солдат с язвами желудка. Разведка также идентифицировала новые Немецкие формирования называемые дивизиями Фольксгренадёров,. Эти наспех созданные дивизии насчитывали только 10 000 человек.
Как говорится, без комментариев, достаточно сказать, что т.н называемые Панцердивизии Вермахта, стоявшие против Паттоновской Третьей Армии насчитывали иногда на три из них.....10 танков. Как писал Джон Рикард--данные дивизии были радикально ослаблены даже для поздней (Осень 1944) уже слабенькой Оргштатной Структуры и не могли нормально поддерживать боевую готовность. Даже с учётом нехватки ГСМ у Союзников, воспринимать такую "силищу", с которой воевал Паттон как реальный Вермахт, простите, тут даже бы и посредственность управилась, а не раздутый Американскими СМИ "гений войны". Впрочим, сий гений ещё отметится и в Арденнах, где подвиг 2ой и 99ой пехотных дивизий Первой Армии Ходжеса будет практически вычеркнут из памяти в пользу горлопана Паттона, который появился в Арденнах, выйдя к Бастони, к шапочному разбору, когда весь момент наступления Армий Дитриха по направлению к Антверпену будет погашен на Северном Фасе Арденнского аппендикса. И это будет сделано не первый раз, не только по отношению к Советскому Союзу, но уже даже по отношению к своим--ну не любят Американцы концепцию войны, в которой необходимо проливать кровь в больших количествах и иногда стоять на смерть, как стояли забытые 2-ая и 99-ая дивизии, да много кто ещё в сражении в Арденнах.
Паттон же, как выяснилось, уроков не учил. Он вообще считал себя генетически и расово выше этих славянских недолюдей и вообще считал, что США воевали не с тем врагом. Он действительно таки думал, что он может дойти до Москвы. Как заявил Паттон:"сложность понимания Русского заключается в том, что мы не признаём факта того что он (русский) является Европейцем а есть Азиат и таким образом думает подло. Мы неспособны понять Русского больше, чем мы можем понять Китайца или Японца и из того, что я пронаблюдал насчёт Русских, у меня нет никакого желания понимать их за исключением того сколько свинца или железа требуется убить его. В добавление к его (русского) любезных свойств, нужно отнести полнейшее пренебрежение к человеческой жизни и то что он есть сукин сын, варвар и хронический пьяница". Вот мнение "союзника" о русских. Паттон интересен в этом смысле как сумма всех глупостей и мисконцепций о войне, характеризующих элиты США, для которых эксгибиционизм и грандиозные заявления являются законным инструментом для формулирофки "политики" для массового электората. Совершенная военная заурядность Паттона в этом смысле является изумительным шорткатом к Американскому шовинизму настолько же необразованному как настолько же ярому.
Яша Кедми недавно (не знаю прочитал ли он мою первую книгу где я посвятил Паттону две здоровые главы), на днях, не выдержал и таки дал волю чувствам.
А теперь представьте что мне пришлось пережить после старниц 50 доказательств того, что Паттон мало того что был глубоко неумным человеком, так до конца войны и остался военной посредственностью, о которой Гитлер упомянул единожды "а это этот психованный ковбой"(с). Момент со встречей с Маршалом Толбухиным в Австрии (как уже сказал--в первой книге две главы это о том как Паттон считал себя великим генералом, таковым не являясь в принципе) прекрасно описывает то насколько оторван от войны был Паттон, особенно в компании такого человека как Фёдор Иванович Толубхин у которого за спиной был 3й Украинский Фронт с его 660 000 войск и блестящими операциями в Югославии, на Балатоне, в Австрии против лучшего что мог выставит Вермахт--это вообще отдельная песня и вот тут то мы возвращаемся и к Арракурту и к Осипову с Ланчестером.
1. Попытки радикально ослабленного Вермахта остановить продвижение Паттона силами последних, собранных по всему фронту танков и САУ, половина из которых сломалась не доехав до поля боя официально насчитывает 86 немецких танков и САУ уничтоженных за 11 дней, причём большинство из них силами ВВС. При потерях со стороны Combat Command A (да-да, Боевое Командовние аж целой 4ой танковой дивизии США) 25 средних и 7 основных танков. Ну явно же на Цитадель не тянет. Да и долго вообще сие не рассматривалось особенно как какое-то отдельное событие. Новодел это всё--историю то переписывать надо. Ну типа как аж три Дивизии СС сняли с Фронта у Курска когда якобы союзники высадились на Сицилии. На самом деле их то сняли, да только в Италию поехала полностью разоружённая Лейб Штандарт СС Адольф Гитлер (передали всё оружие Дас Рейху и Тотенкомпфу, которые перевели от Курска на Миус Фронт где намечался другой удар Красной Армии) и уехали на отстой на север Италии (до Сицилии хрен знает сколько сотен километров) зализывать раны и пополняться.
2. Цифры, только цифры в контексте стратегическом и оперативном реально позволяют вести аргументрованное наступление на ложь, откровенные фальсификации и на пропагандисткие уловки НЕпозволяющие видеть полноты картины.
И ведь действительно, ну до чего же выглядят Союзники достойно на Западном Фронте, не умаляя и героизма и матерства Союзников, а оно тоже было, когда рассматриваются "читые цифры" соотношений. Вот высадились Союзники в Нормандии и тут им попёрло--посмотришь, так их эффективность выше Красной Армии получается, если не всматриваться в цифры (реальные) и не переходить на уже качественную оценку и сил и усилий. Ну ведь, согласитесь, воевать с батальоном глухих солдат или имея превосходство в танках в 20 раз--это вам не хухры-мухры. Это вам "не трупами завалили" и "кровавая гэбня" сзади с пулемётами стояли--это же ого-го. Но вот тут то мы и приходим к модельке.
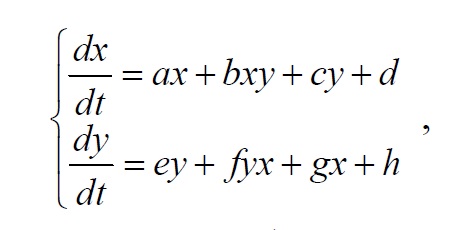
Начнём с простейшего примера: у Красных 1000 солдат у Синих--750. Все как один, на обоих сторонах конфликта одинаково обучены и имеют срвнимые по дальности и точности винтовки. Фас! Поехали мочить друг-дружку. Кто выигрывает. Ну конечно же Красные. Ну да. Люди незнакомые с базовой математикой и базовой боевой подготовкой (ооо, это ещё ТА наука--и наука здесь используется без сарказма) скажут что после того как они растреляют весь свой боезапас Красные выиграют со счётом 1000-750=250. То есть у них останутся 250 солдат, в то время как все Синии полягут в неравном бою. Правильно? Нет--НЕправильно, потому что война, помимо того, что она стохастический процесс (об этом отельно, позже), даже в детерминистком виде является очень нелинейным процессом. Не забываем, что когда один стрелок из Красных убивает одного Синего он "освобождается" (да, да--вопросы сетей, загруженности и отказов, всё ещё будет) для стрельбы по другом Синему, который в это время занят стрельбой по отведённому ему Красному. Т.е. локально огневая мощь и производительность Красных увеличивается вдвое по отношению к некоторым Синим. Сий процесс начал описывать Осипов в 1915 в его знаменитой Определение Жертв Войны. Потом бы Ланчестер и так появились уравнения (точнее система уравнений) о скорости накопления жертв. Вариаций данных уравнений много, вот например одна из них:

Где икс и игрек численности войск, коэффициенты a и е определяют скорость небоевых потерь, b и f--скорость потерь из-за воздействия по площадным целям, c и g--потери от воздействия противника на переднем крае, d и h--подходящие или отходящие резервы. Мы не будем вдаваться сейчас глубоко в эту форму а ограничимся простейшей формой Синих и Красных лупящих друг-по-другу и когда Красные уложат всех Синих у них остнается не 250 человек, а.....угадали--661 человек. Такова природа этой модели, которая давно известна военным профессионалам как Квадратичный Закон Потерь и это имеет прямое отношение ко....ВСЕМУ что мы знаем о современном мире, который сформировался на полях сражений ВМВ. А что если у Красных есть пулемёт? Хм....
To Be Continued......

Комментарии
Спасибо. Интересно про пиндогенерала. Это не он марш ветеранов разгромил?
Он самый. А всё гад, Джордж Си Скотт виноват (обожаю его, мой любимейший актёр был) так сыграл эту бездарь что Оскара получил за лучшую главную роль в картине 1970 года. Вот оттуда, собсно, продвижение этой бездари и пошло. Ну Голливуд, что с них взять. Фильм правда в ФРГ провалился полностью, шёл при пустых залах и его сняли с проката через неделю. Немцы тогда ещё хорошо помнили кто и как разгромил Третий Рейх. Вот на картину про Жукова они бы пошли. Но, как говорится, очень многие хотели верить что Паттон сможет дойти до Москвы--типа этих недолюлей, которые только что шею сломали и Гудериану, и Маннштейну и Моделю, легко, одной левой до Москвы бы он дошёл
Ему бы в Голливуд! Почитайте его записки "Война какой я ее знал" - такого бахвальства в мемуарах еще поискать надо ... даже Рудель отдыхает, скуля в сторонке.
читал естественно--это читать очень тяжело.
После марта 1945 года Германия методично отдавала западным союзникам территории доходило до переброски сил на Восточный фронт. Соглашение с конца марта фактически а формально с первых числе апреля выполнялось.
Есть также один важный момент - в Норвегии по-видимому были захвачены бомбы которыми собирались бомбить NYC и GB. На май 1945 у США было как минимум 15-17 бомб произведённых в гитлеровской Германии. Как Ураниенбомбе так и плутониевых несколько штук.
Как минимум толстяк не мог быть создан как оруие американцами т.к. это предусматривало бы два варианта:
1. Наличие машины времени.
2. Получение этой бомбы от какой-либо из других стран. Реально из Германии.
Невозможно иметь ОРУЖИЕ спустя пару недель после испытания фактически действующего МАКЕТА. Возьмите фото того времени и сравните как габариты а они по объёму раза в 2-3 ужаты для собственно устройства, так и учтите тот факт что с момента испытаний макета рабочего до реально полезного устройства уходит не менее 2 лет. Даже в условиях мобилизационной экономики.
Урановую испытали как минимум дважды именно как оружие немцы в 1943 оду на острове Рюген и на конвое из США, чтобы было с чем торговаться для одних и отчёт для других.
На тот момент самым сильным неядерным оружием владели Великобритания и СССР - радиологическое оружие. Последствия применения были бы гораздо страшнее применения ЯО.
Амеры во ВМВ в Европе как та муха, что сидела на лбу уставшего коня и зудела "мы пахали, ох как мы пахали!".
На самом-то деле все знают (европейцы в том числе) о мотивации немцев воевать против амеров, когда советские медведи уже всех нацистов за затылок треплют.
Вы написали про книгу,которую возможно читал Кедми.Подскажите,о какой книге идёт речь. За статью спасибо,очень интересно и познавательно,тем более когда ложь льётся в уши с экранов даже от "родных" СМИ.
Первая:
Вторая:
желающие могут посмотреть агитку Tora! Tora! Tora! (1970) - как кино не очень, но съёмки впечатляющие, и отчётливо видно, что тенденция началась не вчера
Интересная статья. По Вашему получается, что Джугашвили обманули не только в начале, но и в конце Войны. За оформление итогов отвечает ведь именно ВПР. Прямо как с Наполеоном : солдаты войну выиграли а ВПР все результаты прогадило.
А хто сказав что Виссарионовича кто то обманул? Кому нужна была война и для чего - он знал давно, официально с 30-го года. Так что никаких иллюзий не было. Были только варианты: например США с Германией против СССР, либо Германия и европейская шушера, без США, против СССР. Вся политика в 30-е - это подготовка к неизбежной мировой войне (милитаризация экономики, подготовка промышленных площадок на/за Уралом, планы эвакуации и т.п.) и всевозможные уклонения от первого варианта.
И, Итоги этой подготовки народ под Москвой расхлебывал. Наивный грузинский мальчик не задумался зачем ему кусок Польши отдали? Почему это Шекельгрубер добровольно ушел с уже завоеванных территорий? Уступив эти территории подставившему его под англо-французские молотки Джугашвили. Всего то два вопроса на которые наша официальная историография ответа почему-то не знает.
Смешной вариант о белости и пушистости Шекельгрубера и его приверженности международным договорам прошу не предлагать.
Странно, а я думал, что в Берлине закончили. А про подготовку--вот в этом то вся и проблема, что стратегов, которые с расстояния лет судят обо всём слишком много развелось.
Мешаем сладкие сказочки рассказывать? Ну смиритесь, такая у Вас тяжкая судьбинушка. И да, закончили слава Богу в Берлине, вот только это было абсолютно не связано с предыдущей "подготовкой" к Войне. А про окончание Вам ТС написал, что мир мы, в отличии от войны, проиграли. Так что про конец войны это к ТС вопросы.
Кац предлагает сдаться? Если бы выиграли бреттон-вудский мир, то были бы Бразилией или Аргентиной, а не второй страной мира.
Это Вам к ТС. Он про конец войны пишет, я только про начало имею претензии.
У вас очень слабо с функциональной грамотностью, потому что вы явно видите фигуру из трёх пальцев читая то, что ТС (т.е. я) написал. Т.е. вам про Ивана, а вы, соответственно, про болвана. Т.е. вы даже не поняли о чём я пишу последние три поста. Например почему введены уравнения Ланчестера. А так да--ВМВ, Паттон и т.д. У вас про боевую эффективность и как она считается, включая наряд сил есть что сказать, а не только в-общем о ВПР и "стратегии"?
Ну да, у меня явная функциональная неграмотность. И как я сразу то не понял что по Вашему мнению войну выиграли американцы и именно поэтому мы и получили такой мир. Теперь я Вас правильно понял? Или опять нет? Ну что на самом деле именно мы выиграли Войну и получили проливы, оккупационную зону в Риме и прочие ништяки которые нам обещали. Так что приключения Паттона это конечно интересно, но это сугубые частности, отражающие общее отношение амеров к нам.
И кстати дифуры они конечно хороши, но здесь ИМХО они лишние. У Вас цуг-цванг: доказывая основной посыл статьи Вы неизбежно скатываетесь к нашему проигрышу мира. А доказывая, что мы не только войну но и мир выиграли Вы опровергаете основной посыл статьи. Ну тут Ваш выбор.
Простите, но вам бы подтянуть бы немного историю для начала.
Вы мне свои фантазии не приписывайте пожалуйста.
Первая - это Эстония, да? ;)
Наивный грузинский малшик ЗНАЛ, что США надо обнулить Британию, а Британии -обнулить СССР руками Германии. А посему старался увернуться от счастья одному дубаситься с немцами. Но ... кто же знал что Франция сольется за пару-тройку недель? Упрись хранцузы, как в 1914-м, и расклады были бы трохи другими. Опаздание в развертывании - тоже по политическим причинам - Германия обьявила войну России в 1914 именно за обьявление мобилизации, Виссарионыч старался максимально оттянуть этот момент.
Хоть и упрощённо, но в целом правильно. Тут также необходимо помнить что Британия войну на Континенте саботировала. Это можно очень хорошо увидеть через консультации ABC-1 (America-Britain-Canada) в Вашингтоне Зимой (Январь-Март) 1941 где Халифакс проявлял чудеса словесной эквилибристики в попытках убедить штабистов США что их основная задча была именно помочь Британии удержать империю. Там вообще много чего Британцы понаделали чтобы оттянуть высадку. Например саботаж Уинстоном и его генштабистами Operation Sledgehammer в пользу Африки.
Наверно напишу про Дьепп, один из кирпичиков "мешающих" англам воевать в ВМВ.
Безусловно. На конференции в Касабланке Начальник Оперативного Отдела Джорджа Маршалла, генерал Стэнли Эмбик (тот самый кто председательствовал на Конференциях АВС-1 в 1941) выпустил циркуляр где напямую обвинил Британию и Чёрчилля в саботировании высадки в Европе и следовании своим имперским интересам, вместо реальной войны с Гитлером. Вот что пишет об этом Дэвид Айзенхауэр (внук) об этом:
Там читать надо было между строк. Гитлер считал виновником МИРОВОЙ войны - Рузвельта, и был прав. Когда понял что его штаты кинули , стал мириться с Британией - отменил высадку, послал Гесса, но ... рулил уже Черчилль (явный американский агент - из статьи Троцкого 26-го года) , который воевал до полной капитуляции Британии в Бреттон Вуде.
Виновником мировой войны была Нацисткая Германия, во главе с Гитлером и нацисткой идеологией. США с Японией преследовали региональные интересы (отсюда и эмбарго), но Япония была по сравнению с Германией и Европой, кою Рейх подчинил--отнюдь не сверхдержавой. Основным ТВД являлась Европа и именно там решались судьбы мира.
Ну меня слабо интересует мнение Шекельгрубера. А вот наша позиция по Польше меня интересует сильно. Почему мы до сих пор не отмечаем день великого предательства Польши англичанами и французами? 2 сентября идеально на этот день ложится. Каждого 2 сентября мы просто обязаны возлагать венок на могилу героев Вестерплятте и ленточку жертвам англо-французского предательства к нему прикреплять не забывать. Пускай не мы полякам чего-то там доказываем, а поляки себе доказывают что у них, англичан и французов армии были говно-говном. При польском то гоноре и количестве денег которые шляхта истратила на прославление силы польского оружия будет интересно. Ну и дата начала Варшавского восстания, на которое поляков подбили англичане тоже интересна. Я почему-то думаю, что если в наших архивах покопаться то подтверждение этому найти не составит труда. Тоже в предательство поляков англичанами ложится как родное.
А че венок тащить на Вестерплятте? Там че - поляки что то грандиозное сотворили? Лучше уж в Монте Кассино - там польский корпус (по численности как две наших армии, образца 44-го года), не смог прорвать оборону усиленного немецкого батальона парашютистов. Вот была заруба в "красных маках Монте Кассино" - всяк поляк помнит.
Ну поляки там серьезный мемориал забабахали. Именно поэтому под словами "у каждого бывает свой Вестерплятте(цитата неточная восстанавливаю по памяти)" самое место венку с напоминанием об англо французском предательстве. Туда столько ресурсов шляхта вбухала... Грешно не воспользоваться. Нам то не больше сотни евро такой венок обойдется, а грызни, пиара и прочего ...
Смотри кому выгодно - 2 тыс. лет без осечек. Римское право. Алоизычу мировая война не нужна была, а вот Рузвельту - в самый раз.
Главное противоречие империализма, противоречие между США и Британией. Методы разрешения противоречия - торговая война, пошлины, наконец война - из итогового доклада Сталина съезду в 30-м годе. Что было потом, в начале 30-х: ввозные пошлины на американские товары по всей Британской империи (в метрополии, колониях и доминионах, кроме Канады - считай полмира закрыли для американцев) и как следствие торговой войны с 39-го - Мировая война. Ну и в итоге: победитель Британии в этой войне - США. Остальное: капитуляция Германии и Японии, просто мелочи, заслоняющие главное.
Это по документам. А по факту - ВМВ это второй этап ПМВ. Германию сознательно унизили в Версале, потом взрастили Гитлера американскими финансами и технической помощью, потом сдали ему Чехословакию, чтобы усилить и подтолкнуть ближе к СССР, потом не мешали захватить Польшу по той же причине. Все действия нагло-саксов указывают на то, что именно они хотели стравить немцев с русскими, и ждать, пока эти сильнейшие на континенте нации ослабят друг друга.
ПС Ну а то, что сами оказались втянуты - ну дык "и хитрили они, и хитрил Аллах - ведь Аллах хитрейший из хитрецов"
"Все действия нагло-саксов указывают на то, что именно они хотели стравить немцев с русскими, и ждать, пока эти сильнейшие на континенте нации ослабят друг друга."
- это был единственный шанс у Британии выжить как империи , проканывавший не раз. Но ... пришел Черчилль и стал ломать империю над которой не заходило солнце, до маленького острова, исключительно для процветания США. Что и было ГЛАВНЫМ поводом для ВМВ. Зря что ли был сыном американки.
Не, Франция свое счастье упустила 1 сентября 39 года. Дальнейший обход линии Мажино был вполне предсказуем. Немцы ни разу на подготовленные позиции всерьез не ходили, они их обходили и все. Уж очень у них впечатление от первой мировой гнусное осталось. По моему единственная лобовая атака на линию Мажино больше напоминала цирковое представление в ожидании окружения ее защитников.
Осталось вспомнить - для ЧЕГО строилась Линия Мажино и все у Вас в голове встанет на место. Линия строилась для направления возможного наступления немцев через Бельгию, где , на франко-бельгийской границе, и находились основные силы французов и англичан.
И, там, на французско бельгийской границе, линия Мажино конечно же продолжалась в полный рост и немцы ее штурмом брали? Потери немецкие не озвучите при взятии подготовленного укрепрайона? Или там всё-таки настолько серьезных укреплений не было? А живая сила, она такая живая сила, что ее танковые клинья разделывали под орех на раз. Что немцы блестяще и доказали.
Будете смеяться, но линия Мажино тянулась до Седана, где ПЕРЕПРАВИЛСЯ через Маас мусью Гудериан, наплевав на форты, причем не успев даже подтянуть гаубичную артиллерию. У бельгийцев и голландцев были свои укрепленные рубежи ... так же бездарно просранные, как и Седан.
Не, тут не до смеха. Меня как-то в школе учили, что линию Мажино фрицы просто обошли. Ну я и поверил. Буду разбираться как так получилось что форты оказались не у дел и потерь 4 к 1 у немцев не было и танки не завязли в противотанковых сооружениях.
Заодно смотрите: "бульзонская паника" - неожиданное появление танков Гудериана у Бульзона (после форсирования Мааса). По Бельгии - захват сильнейшего в Европе форта Эбен Эмаль 80-ю парашютистами (гарнизон форта - 1200 бойцов).
Из веселого:
Переправа через Маас солдат Гудериана у Седана: https://radikal.ru/lfp/s005.radikal.ru/i211/1002/13/ab6fe1ef4f45.jpg/htm
Кстати, интересно: как такие случаи (80 против 1200) вписываются в мат модели исхода события?
Да, здесь нет линейности, такой как "красные" стреляют в "синих". Но жесткая линейность вообще чаще исключение, чем правило.
"Кстати, интересно: как такие случаи (80 против 1200) вписываются в мат модели исхода события?"
Я тоже не понимаю: как можно свести к одной формуле все неизвестные: опыт подчиненных, вооружение , мобильность, наличие и качество боеприпасов, рельеф, степень подготовленности позиций, пристрелка и т.д. и т.п. По одной формуле учесть столько неизвестных - напряжно. Правда это то что видно из моего окопа - зампотех роты Т-64. Из КП батальона или полка, а тем более дивизии - неизвестные размножаются в геометрической прогрессии.
Я уже приводил пример: немецкий батальон парашютистов, усиленный ротой САУ, несколькими минометными батареями и дивизионом артполка , отбился, у монастыря Монте Кассино, от двух дивизий славных поляков имевших еще и поддержку артиллерии своего и английского корпуса и союзной авиации..
Не будучи кадровым военным могу только высказать допущение: модель описывает идеальный случай развития событий при "прочих равных". Таким образом предоставляя командирам на местах и штабистам базу для дальнейшей корректировки на "экспертную оценку" влияния других факторов.
Отрицать необходимость моделирования - конечно же глупо. С другой стороны, вес "экспертных оценок" всегда будет значительным.
И у Суворова и у казаков, покорявших Сибирь, соотношения частенько бывали не благоприятными...
Вы немного забегаете вперед, хотя пример ваш правильный, но:
1. Кто тут сказал что всё сводится к простейшей формуле? Я такого не говорил да и не мог сказать, просто для общего понимания я привёл упрощенную формулу;
2. Совершенно верно, вопрос боевой эффективности и введения соответствующих коэффициентов--это очень важный вопрос, я его еще только собираюсь осветить;
3. Раширенная модель, тем не менее, из двух однородных дифуров также приведена в качестве примера и вывешена. Сия модель учитывает скорость потерь, например, при огневом воздействии по площадным целям а также динамику резервов.
Но коли вопрос таки возник, вот вам для примера интерактивное моделирование по Ланчестеру, с учетом временных рамок боя, из Математической Ассоциации США.
"Раширенная модель, тем не менее, из двух однородных дифуров также приведена в качестве примера и вывешена. Сия модель учитывает скорость потерь, например, при огневом воздействии по площадным целям а также динамику резервов."
- а тактику использования как учитывать?
Два примера отражения контратаки:
1. " Для отбивания немецких контратак в районе населенного пункта Люхерберг (Lucherberg), Германия в декабре 1944 года американцы использовали следующий порядок действий. Пока враг находился далеко, они вели огонь с верхних этажей зданий. Как только немецкая пехота переходила в атаку, американцы прятались в подвалах, вызвав предварительно огонь артиллерии на воздушных разрывах по этим зданиям. Как только артиллерия замолкала, разметав атакующие подразделения немцев, верхние этажи зданий занимались вновь. То есть по сути с выходом противника на дистанцию действительного огня пехота не начинала стрелять, а пряталась в укрытия! Её функция сводилась к своевременному оповещению своей артиллерии и к «приманке». Немцы видели перед собой пехотное подразделение и атаковали. А «воевать» им приходилось с лавиной артиллерийского огня американцев, а не с их пехотой." (Vannoy, Allyn R., Against the Panzers: United States infantry versus German tanks).
2. "Огонь открывался только после подхода атакующей пехоты противника на короткую дистанцию к обороняемым позициям. Вынудив союзников залечь, немецкая пехота уходила в укрытия. После чего следовал короткий, но интенсивный налёт немецкой артиллерии по залёгшей вблизи от немецких позиций пехоте союзников... После чего немецкая оборона умолкала. По сути, оборона немцев работала в режиме «засады»" (Mark Zuehlke, The Gothic Line Canada’s month of hell in World War II Italy)
Превосходство союзников в артиллерии и авиации не позволяло немцам долго вести огонь не меняя позиций - короткий налет и сразу перемещение на запасную позицию.
"двух однородных дифуров " никак не получается, всегда возможности и тактика использования этих возможностей у противников разная, даже при равенстве численности.
Ну раз пошла такая пьянка, начнём с того, что Ланчестер вообще плохо соотносится с Европейским ТВД во ВМВ, а вот уж с Тихоокеанским, особенно вроде Окинавы, соотнёсся очень хорошо. Но речь то пока не о том как ввести ВСЕ переменные. Вон, например для партизанской войны как можно моделировать. Разговор совершенно о другом--о нелинейности современной войны. Например в войне на море или в ПВО Ланчестер не работает в принципе, там включаются уже Залповые Модели. Но квадратичный закон Ланчестера очень полезен. А для людей непосвящённых просто необходим.
Ну раз пошла такая пьянка, начнём с того, что Ланчестер вообще плохо соотносится с Европейским ТВД во ВМВ, а вот уж с Тихоокеанским, особенно вроде Окинавы, соотнёсся очень хорошо. Но речь то пока не о том как ввести ВСЕ переменные. Вон, например для партизанской войны как можно моделировать. Разговор совершенно о другом--о нелинейности современной войны. Например в войне на море или в ПВО Ланчестер не работает в принципе, там включаются уже Залповые Модели. Но квадратичный закон Ланчестера очень полезен. А для людей непосвящённых просто необходим.
"а вот уж с Тихоокеанским, особенно вроде Окинавы, соотнёсся очень хорошо"
- Хм! Две японские дивизии и одна бригада (70 тыс. "бойцов", вместе с корейцами-строителями и гимназистами, насчитанных Вольны - оставим на его совести) , 3 (три прописью) месяца цельная 10-я американская армия (общей численностью 500 тыс. рыл.) с поддержкой всем чем Бог наградил, к тому времени, Америку. Причем коммуникации были прерваны - т.е. дивизии бились в окружении. Препятствий высадке японцы не делали, вся оборона японцев (а это южная часть острова) - простреливалась насквозь корабельными орудиями. На соседнем островке находились два аэродрома с 800 сухопутными самолетами (не считая авианосных) - это по-нашему Воздушная армия (придаваемая, как правило, фронту).
И , при таких условиях и ресурсах, американцы , очень хорошо соотносились с Ланчестером? Тогда могу подсказать еще одну битву по Ланчестеру: штурм Брескенса, обороняемого, запертой там, потрепанной 64ПД немцев, целой канадской армией в сентябре 44-го. Правда канадцы победили "всего" за месяц.
Вы так активно пытаетесь "поучаствовать", что вместе с водой выплеснули и ребёнка.
1. Я не знаю сколько раз мне надо повторить (что бы кол на голове не... далее по тексту), что в ваших же вопросах и сквозит полнейшее непонимание предмета (вот пример):
А не расскажите ли вы нам как развёрнута была сия Армия, я уж не говорю о том, что НЕ существует вообще в истории ВМВ операции га ТО ТВД где бы были вовлечены 500 000 "рыл"--НЕТУ в природе. 183 000 войск первой линии (Элементы 10 Армии) было задействовано в операции, потом выросло до 250 000--это общеизвестные факты. Им противостояло около 80 000 японцев. Но ладно, понятно, что воинствующая некомпетентность рулит всегда. Вопрос, у вас откуда доступ к ЖБД (Combat Logs) соединений, участвующих в сражении? Вы можете произвести статистический анализ сражения без них, без надёжных источников? И именно поэтому вы мешаете в кучу коней людей не понимая, что на руках у вас несколько уровней эффектов (причин) рознящихся от линии фронта, до резервов, до разности их развёртывания ну и там по мелочи, вроде фактора морали и пр.
2. Вопрос, вы читали мои книги, вы вообще понимаете о чём здесь вопрос стоит? Т.е. вы даже не представляете где Ланчестер применим а где нет. Тем не менее, с шашкой наголо вы выхватываете из контекста данные и лепите их здесь в попытке доказать...я даже не знаю, что вы доказать хотите?
3. Откуда вышло правило 3 к 1 вы видимо тоже не слыхали никогда. Хотя это универсальное правило. Коэффициэнты сами переведёте?
Поэтому вы сперва разберитесь сами, что вы хотите тут сказать а не лепить откровенно тенденциозные заявления.
"Вы так активно пытаетесь "поучаствовать", что вместе с водой выплеснули и ребёнка."
- статья то понравилась! Потому и "поучаствовал".
"А не расскажите ли вы нам как развёрнута была сия Армия"
- если не устанете - расскажу:
высадились два корпуса из семи дивизий (усиленных, например учебным полком (а не батальном), батальоном танков - 54 штучки, плавающими бронированными транспортерами - около 200-т штучек, разведэскадрильей - 12 самолетов, не считая прочих нештатных подразделений , каждая), кои с корпусными средствами усиления, например для 3-го корпуса морской пехоты :
-по одному батальону — медицинскому, связному и обслуживания,
- 2-й и 3-й хирургические госпитали,
-11-й транспортный батальон и 456-я рота плавающих автомобилей (17 машин);
- 1-й батальон и рота военной полиции;
- семь полевых складов;
-1-я группа зенитной артиллерии — 2-й, 5-й, 8-й, 16-й дивизионы (96 орудий);
- 2-я группа полевой артиллерии — 1-й, 3-й и 6-й дивизионы гаубичной артиллерии (54 орудия),
- также 7-й, 8-й и 9-й дивизионы пушечной артиллерии (54 орудия);
-802-й инженерный авиационный батальон;
- 1-й саперный батальон,
- 71-й и 130-й батальоны строителей морских сооружений.
Вкупе насчитывали аж 183 821 человек. Но ... армия имела и свои части усиления (перечислять не буду - скорее Вы их знаете - ну там три танковых батальона 165 танков, 9 дивизионов тяжелой, 155мм, артиллерии - 216 орудий и т.п. ), плюс развитые тылы (американцы без них никак), своя, армейская, тактическая авиация (301-е крыло истребительной авиации, 7-е крыло бомбардировочной авиации, 2-е крыло авиации морской пехоты, всего: 625 истребителей, 148 бомбардировщиков, 34 торпедоносца ("авенджеры" используемых как бомберы ) и 12 разведчиков. Всего 819 самолетов). Самое большое по численности конечно - тылы (обслуживание армейских тылов и на других островах тоже).
Так вот эта численность 10А и составляла 548 тыс. человек. Не все они были на Окинаве, но 183 тыс. боевого состава на Окинаве - это тоже не все высадившиеся головы принадлежащие 10А. Могу напомнить письмо Черчилля Сталину (недовольного малым количеством высадившихся дивизий) по расчету численности десанта в Италии от числа дивизий: американская дивизия с усилением (корпусные и армейские части) - 50 тыс. народу (по штату в дивизии - 16 тыс), английская - 30 тыс (по штату в дивизии - 18 тыс) ну и плюс многочисленные тылы.
Я Вас не утомил?
"Им противостояло около 80 000 японцев. Но ладно, понятно, что воинствующая некомпетентность рулит всегда. "
- дивизия - тактическое соединение способное вести САМОСТОЯТЕЛЬНЫЕ боевые действия на тактическом уровне. Т.е. дивизия , кроме пехотных (танковых ) полков имеет и остальные подразделения - разведбат, саперный батальон, собственная гаубичная артиллерия - целый полк, санбат, части обеспечения и транспортировки и прочие подразделения ( и это без усиления) позволяющие выполнять самостоятельные тактические задачи.
Сколько у японцев было таких дивизий
- 1 (одна), 24-я кадровая пехотная дивизия из Квантунской армии, имеющая и штатный артполк , и разведбат , и саперный бат., и противотанковый бат., и батальон связи , и проч. штатные подразделения, которые и обеспечивают боевую силу соединения. Численность дивизии - 14 332 голов.
Вторая дивизия - 62-я пехотная дивизия, оккупационная дивизия из Китая. У нее отсутствовали многие необходимые, для боевой дивизии, части - например артполк (ей придали 40 орудий малых калибров, но заменить гаубичную артиллерию они не могли), а так же равзедбата, саперного батальона. Что бы рубить головы в Нанкине - эти части явно лишние. Голов в дивизии было - 12 606.
Ну и многострадальная 44-я смешанная бригада (5680 голов): в июне плывшая на Окинаву бригада (6000 населения) утонула в торпедированном транспорте (спаслось около 600 рыл). Самолетами перебросили 15-й смешанный полк (сами понимаете - без тяжелого вооружения) + "восстановили" (из обслуги аэродромов и морской базы) 2-й пехотный полк. В бригаду еще вошел батальон связи и рота саперов. Из тяжелого вооружения бригада поимела целый артдивизион (из береговых орудий).
Вот и все (32 618 голов) что, хоть как то соответствовало боевым соединениям американцев на Окинаве (183 тыс., если не забыли). Т.е. более-менее обученные части имеющие штатное (пулеметы, минометы, полковая артиллерия) вооружение . Ах да - был еще "танковый полк" из 27 легких танков и 750 голов персонала. Значит было 33 тыс. окинавских голов, готовых для борьбы с 183 тыс. боевых американцев.
Из эрзац частей можно еще упомянуть 1-ю, 2-ю бригады и 1-й пехотный полк срочно сформированных на Окинаве в 45-м. 1-я пехотная бригада (6000 голов) и 1-й пехотный полк (3000 голов) сформированы из интендантов и аэродромного обслуживающего персонала, без тяжелого вооружения, 2-я пехотная бригада (4500 голов) и три отдельных батальона (по 600 голов) из обслуги морской базы Унтен. Боевая ценность "бригад" без тяжелого и автоматического вооружения, из необученных интендантов, мотористов и моряков была ниже плинтуса.
Как то так.
"Вопрос, вы читали мои книги, вы вообще понимаете о чём здесь вопрос стоит? Т.е. вы даже не представляете где Ланчестер применим а где нет...
- не понимаю, тем более при стольких неизвестных, но когда Вы привели Окинаву, как пример - просто не удержался ...
Вспоминается карикатура из студенчества: "Детгиз", издательство "Малыш", серия - "твоя первая книжка": "Теория упругости". Правда когда на первой лекции по теории пластичности было сказано: "есть четыре версии теории пластичности, поэтому будем рассматривать все четыре" ... я понял что карикатура про упругость была права - там всего то одна версия.
"Откуда вышло правило 3 к 1 вы видимо тоже не слыхали никогда. Хотя это универсальное правило. Коэффициэнты сами переведёте?Поэтому вы сперва разберитесь сами, что вы хотите тут сказать а не лепить откровенно тенденциозные заявления"
- "при начале сражения все армии напоминают пожар в борделе - все расчеты летят к черту" (Наполеон). Теория про три к одному так часто не соответствует действительности, что так и остается теорией - т.е. количество допущений и упрощений искажает реальность до неузнаваемости. Например удар 48ТК 5 июля 1943 года по обороне 67гв.сд , по всем "законам" и "формулам" должен был разметать дивизию в пыль. В 48 ТК немцев было 680 танков (из них 200 пантер) и САУ (для примера в Арденнах в 6ТА СС и 5ТА немцы задействовали 950 танков и САУ) + кроме своей корпусной артиллерии его поддерживала артиллерия 52АК (105мм-210мм). 67 Гв.сд имела около 6 тыс. человек, 48 ТК - около 80 тыс. Прорвать оборону дивизии 48ТК смог только на следующий день "Цитадели", а ведь у немцев каждый день в начале операции был на вес золота - и они не сомневались в быстром прорыве обороны в первый день, при таком то соотношении сил. Может формулу Ланчестера не знали? Или в коэффициентах Меллентин что то напутал?
-
Не просто утомили, а очень сильно--потому что явно страдаете функциональной безграмотностью. Т.е. не понимаете вообще о чём идёт речь. Первое, по 183 000--хорошо хоть ещё себе не приписали "открытие" данного факта--открываем и смотрим, всю кампанию.
Appendix C Statistics of the Ryukyus Campaign
Это первое, второе. Я вам привёл РАНД и их моделирование по секторам, понятно что не зашло и не могло зайти, потому что вам про Ивана а вы--про болвана. Очевидно факт изучения Ланчестера в высших военных учебных заведениях не только России, но и всего мира вам явно не указ. Т.е. вы даже не задаётесь вопросом а для чего это делают, видимо считая всех тупее вас намного. Ну и т.д. Поэтому таки да--утомили очень сильно.
Страницы