Метатеория разума и ноосферы как физико-когнитивной системы описывает общества, культуру, институты и разум как физически реализуемые когнитивные структуры, подчинённые законам термодинамики, предиктивной обработки информации и ограниченного распределения ресурсов. Ключевая идея — смысл требует энергии, структуры и институциональной поддержки. Культура — это не просто система знаков, а антиэнтропийная оболочка, оптимизирующая поведение агентов через смысловую фильтрацию и координацию. Теория формализует уравнения когнитивной стоимости, жизнеспособности и фазовых переходов, применимых к анализу культурных и цивилизационных процессов.
Глава 0. Онтология предиктивных когнитивно-физических систем
0.1. Общая посылка
Человеческие общества, культуры, институты и даже разум — это не автономные гуманитарные сущности, а физико-когнитивные системы, подчинённые законам:
- термодинамики (энтропии, энергетики, ограниченности),
- предиктивной обработки информации (активного вывода, минимизации неопределённости),
- экономики как механизма ограниченного распределения ресурсов и смыслов.
Отсюда:
Общество — это не просто когнитивная система. Это диссипативная, физически реализованная система, в которой культура играет роль распределённой антиэнтропийной оболочки.
0.2. Ключевая триада: энергия — информация — смысл
Любая устойчивая система включает:
|
Компонент |
Форма в системе |
Механизм |
|
Энергия |
Ресурсы, питание, инфраструктура |
Термодинамика |
|
Информация |
Данные, сигналы, внимание |
Коммуникация |
|
Смысл |
Предсказания, модели, культура |
Когнитивная организация |
Смысл не возникает сам по себе. Он:
- опирается на энергию (буквально: питание мозга, институтов, медиа);
- структурирует информацию;
- минимизирует энтропию и увеличивает предсказуемость.
0.3. Общая формула когнитивно-физической системы
Пусть S — система (например, общество или культура). Тогда:
S(t)=(R(t),I(t),M(t),Φ(t),Ψ(t),Σ(t))S(t) = \left( R(t), I(t), M(t), \Phi(t), \Psi(t), \Sigma(t) \right)S(t)=(R(t),I(t),M(t),Φ(t),Ψ(t),Σ(t))
Картинкой:

Где:
- R(t) — ресурсы (энергия, инфраструктура);
- I(t) — информационные потоки (данные, шум, внимание);
- M(t) — модели и смыслы (семантика, нарративы);
- Φ(t) — когнитивная мощность (скорость и глубина смыслопорождения);
- Ψ(t) — рефлексивность (способность к переосмыслению);
- Σ(t) — степень устойчивости системы (функция всех остальных).
0.4. Принцип предиктивной антиэнтропии
Смысл = форма антиэнтропии.
Каждое устойчивое общество:
- не просто выживает, а предсказывает угрозы и возможности;
- создает символические структуры, которые оптимизируют потоки энергии и информации;
- минимизирует трату ресурсов на хаотичные реакции → через культуру как предиктивную структуру.
Следовательно:
Смысл — это экономически выгодная, физически воспроизводимая структура информации.
0.5. Новая дефиниция культуры
Культура — это:
распределённая система энергетически ограниченных предсказаний, обеспечивающая устойчивость когнитивно-физической системы через согласование смыслов, фильтрацию информации и оптимизацию поведения агентов.
0.6. Новый взгляд на агента
Агент — это:
- не просто «носитель рациональности»;
- а энергетически ограниченный механизм минимизации неопределённости;
- когнитивная система, живущая в экономике, культуре, инфосфере;
- он мыслят только в рамках своей ресурсной оболочки.
Его Φᵢ и Ψᵢ — производные от доступа к ресурсам, информации, когнитивной сети и социальной позиции.
0.7. Следствия
- Смысл = энергия + структура + устойчивость.
- Культура = термодинамический фильтр возможных моделей поведения.
- Гиперобъекты = накопители и распределители когнитивной стоимости.
- Экономика = координатная система смыслов.
- Рефлексия = побочный продукт избытка энергии и когнитивной мощности.
Глава 1. Агент как энергетически ограниченный предиктор
1.1. Агент в традиционных теориях
Большинство классических и постклассических моделей предполагают агента как:
- рационального (экономика, гомо экономикус),
- интерпретирующего (семиотика, культурология),
- социально обусловленного (социология),
- распределённого (активный вывод, extended mind).
Но все они опускают фундаментальный аспект:
Агент — это физическое тело с ограниченным доступом к энергии, информации и когнитивной инфраструктуре.
1.2. Определение агента в данной метатеории
Агент — это:
диссипативная, физико-когнитивная система, реализующая локальный предиктивный цикл в условиях:
- ограниченной энергетической подпитки,
- ограниченного доступа к информации,
- частичной включённости в смысловую инфраструктуру культуры.
1.3. Когнитивный цикл агента
Цикл существует только при наличии ресурса:
Agenti(t):(Ri→Φi→Pi→Ai→Fi→ΔMi)\text{Agent}_i(t): \left( R_i \rightarrow \Phi_i \rightarrow P_i \rightarrow A_i \rightarrow F_i \rightarrow \Delta M_i \right)Agenti(t):(Ri→Φi→Pi→Ai→Fi→ΔMi)
Картинкой:

Где:
- Rᵢ — доступные ресурсы;
- Φᵢ — когнитивная мощность;
- Pᵢ — предсказание (модель действия);
- Aᵢ — действие;
- Fᵢ — обратная связь;
- ΔMᵢ — обновление модели.
Если Rᵢ падает ниже порога → Φᵢ → 0 → агент не предсказывает, а реагирует.
1.4. Структура ограничений агента
Агент ограничен четырьмя типами ресурсов:
|
Ресурс |
Пример |
Функция |
|
Энергетический |
пища, сон, безопасность |
биовыживание |
|
Информационный |
доступ к данным, знаниям, медиа |
ориентация |
|
Когнитивный |
доступ к языку, понятиям, категориям |
моделирование |
|
Сетевой |
включённость в культуру, институты, практики |
согласование |
Эти ресурсы не независимы. Они образуют когнитивную оболочку агента, определяющую его мощность и глубину мышления.
1.5. Формализация когнитивной мощности и рефлексии
Φi(t)=f(Ri(t)⋅Ai(t)Enoise(t)+KStrat)\Phi_i(t) = f\left( \frac{R_i(t) \cdot A_i(t)}{E_{noise}(t) + K_{Strat}} \right)Φi(t)=f(Enoise(t)+KStratRi(t)⋅Ai(t)) Ψi(t)=g(Φi(t),DiversityMi,Plasticityi)\Psi_i(t) = g\left( \Phi_i(t), \text{Diversity}_{M_i}, \text{Plasticity}_i \right)Ψi(t)=g(Φi(t),DiversityMi,Plasticityi)
Картинкой:

Где:
- E_noise — уровень шумов в среде;
- K_{Strat} — стратификация доступа (когнитивная бедность);
- Diversity_Mᵢ — разнообразие ментальных моделей;
- Plasticityᵢ — способность к метаобновлению.
Итог:
- Φᵢ — насколько много и точно агент может предсказывать;
- Ψᵢ — насколько он способен видеть свои собственные модели как модели.
1.6. Агент и смысловая экономика
Смысл для агента:
- не универсален, а локален — зависит от Rᵢ и Mᵢ;
- имеет стоимость — когнитивные усилия, внимание, инфраструктура;
- может быть убыточным — если C_sense > Rᵢ, то смысл отторгается.
Агент не «ошибается» — он не может себе позволить думать иначе.
Он мыслит в границах доступной когнитивной стоимости.
1.7. Типология агентов по доступу к ресурсам
|
Тип агента |
Φᵢ |
Ψᵢ |
Позиция |
|
Реактивный |
низкая |
нулевая |
поведенческий автомат |
|
Миметический |
средняя |
нулевая |
копирует шаблоны |
|
Функциональный |
высокая |
низкая |
рационально действует в шаблоне |
|
Рефлексивный |
высокая |
средняя |
осознаёт свою модель |
|
Мета-агент |
высокая |
высокая |
способен к реконфигурации системы |
Но переходы между типами зависят от ресурсной среды и когнитивной сети, а не от воли.
1.8. Следствия
- Когнитивное неравенство = функциональное неравенство;
- Когнитивная бедность = предсказательная стагнация;
- Общество без поддержки агентной мощности → не эволюционирует, а деградирует в смысловой инерции;
- Реальная свобода мышления = доступ к ресурсам для альтернативных моделей.
Глава 2. Экономика как основа смысловой архитектуры
2.1. Экономика: от распределения благ к распределению смыслов
Традиционная экономика описывает обмен и распределение материальных ресурсов.
Но в рамках когнитивно-физической метатеории мы рассматриваем экономику в расширенном смысле:
Экономика — это:
система распределения, фильтрации и воспроизводства ресурсов, необходимых для предиктивной когнитивной деятельности агентов и гиперобъектов.
То есть:
Экономика — это физическая основа существования смыслов.
2.2. Новое определение
Экономика — это антиэнтропийная инфраструктура культуры.
Она:
- поддерживает энергетический обмен;
- структурирует информационные каналы;
- ограничивает возможные когнитивные траектории;
- материализует смыслы в виде институтов, инфраструктур, нарративов, знаков.
Без экономики нет устойчивой культуры — только флуктуации символов без воспроизводства.
2.3. Экономика как метрика когнитивной доступности
Экономика задаёт границы мыслимого и реализуемого. Она:
- определяет, какие когнитивные модели могут быть воспроизведены;
- фильтрует смыслы по ресурсной цене;
- делает одни формы мышления "дорогими", а другие — "дешёвыми".
Примеры:
- высокая стоимость философского образования → редкость рефлексивного мышления;
- дешёвые нарративы в медиа → инфляция смыслов;
- платная информация → рост когнитивной стратификации.
2.4. Формализация когнитивной стоимости
Для любого когнитивного акта или структуры (Sᵢ):
Costcog(Si)=E(Si)+T(Si)+R(Si)+C(Si)\text{Cost}_{cog}(S_i) = E(S_i) + T(S_i) + R(S_i) + C(S_i)Costcog(Si)=E(Si)+T(Si)+R(Si)+C(Si)
Картинкой:

Где:
- E(Sᵢ) — энергетические затраты (мозг, устройство, инфраструктура);
- T(Sᵢ) — время (внимание, когнитивная обработка);
- R(Sᵢ) — ресурсная поддержка (доступ к знаниям, инструменты);
- C(Sᵢ) — культурная стоимость (легитимность, институциональное признание).
Если Cost_cog > Viability_agent, то смысл не реализуется.
2.5. Экономика как координатная система смыслов
Каждый смысл, институт, нарратив или гиперобъект:
имеет координаты в экономическом пространстве:
- сколько стоит его поддержка,
- сколько приносит он устойчивости,
- какую когнитивную мощность он генерирует.
Уравнение эффективности:
Efficiencycog=ΦoutCostcog\text{Efficiency}_{cog} = \frac{\Phi_{out}}{Cost_{cog}}Efficiencycog=CostcogΦout
Картинкой:

Где Φ_out — когнитивная польза (снижение энтропии, усиление согласованности).
Устойчивы те смыслы, у которых высокая когнитивная эффективность при низкой стоимости.
2.6. Типология когнитивных объектов по экономике
|
Объект |
Стоимость |
Эффективность |
Пример |
|
Символы |
низкая |
переменная |
флаг, логотип, мем |
|
Нарративы |
средняя |
средняя |
нация, история, миссия |
|
Институты |
высокая |
высокая (если живы) |
суд, армия, университет |
|
Философские идеи |
высокая |
латентная |
понятие истины, свободы |
|
Гиперобъекты |
очень высокая |
высокая (долгосрочно) |
язык, интернет, капитализм |
2.7. Экономика как предел когнитивной экспансии
Экономика накладывает физические границы на мышление:
- вы не можете массово поддерживать сложные нарративы без инфраструктуры;
- сложные идеи «умирают» без институциональной подпитки;
- когнитивные новации заглушаются, если их стоимость выше способности агентов их усваивать.
Следствие: Культура деградирует, если экономика не успевает за когнитивной сложностью.
2.8. Перепрошивка роли экономики в теории
Вместо:
КопироватьРедактировать
Физика → Экономика → Культура → Институты → Мышление
Теперь:
Экономика=Мера, Матрица и Условие всех когнитивных процессов\text{Экономика} = \text{Мера, Матрица и Условие всех когнитивных процессов}Экономика=Мера, Матрица и Условие всех когнитивных процессов

- Не "поддержка культуры", а её геометрия;
- Не "база", а ось координат смыслов;
- Не "фактор", а фильтр и условие существования мысли.
Глава 3. Когнитивная стоимость и уравнение жизнеспособности
3.1. Когнитивная стоимость: базовое понятие
Если всё мышление, все смыслы, институты и нарративы — это структуры, которые потребляют энергию, внимание, инфраструктуру и время, то каждый из них имеет:
Когнитивную стоимость — минимальную сумму ресурсов, необходимую для:
- порождения,
- поддержания,
- репликации,
- адаптации
- и включения в когнитивную сеть.
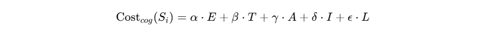
3.2. Общая формула когнитивной стоимости объекта Sᵢ
Costcog(Si)=α⋅E+β⋅T+γ⋅A+δ⋅I+ϵ⋅L\text{Cost}_{cog}(S_i) = \alpha \cdot E + \beta \cdot T + \gamma \cdot A + \delta \cdot I + \epsilon \cdot LCostcog(Si)=α⋅E+β⋅T+γ⋅A+δ⋅I+ϵ⋅L
Картинкой:

Где:
- E — энергетические затраты (биоэнергия, инфраструктура);
- T — время на усвоение, репликацию, обдумывание;
- A — внимание (в том числе общественное);
- I — институциональная поддержка;
- L — легитимность и семиотическая закреплённость;
- α…ε — весовые коэффициенты, зависящие от среды.
3.3. Жизнеспособность объекта (агента, института, нарратива)
Объект жизнеспособен, если:
ViabilitySi=Ucog(Si)Costcog(Si)>1\text{Viability}_{S_i} = \frac{U_{cog}(S_i)}{\text{Cost}_{cog}(S_i)} > 1ViabilitySi=Costcog(Si)Ucog(Si)>1
Картинкой:

Где:
- U_cog(Sᵢ) — полезность объекта: насколько он снижает неопределённость, повышает когерентность, генерирует предсказания, стабилизирует структуру;
- Cost_cog(Sᵢ) — цена его существования.
Если Viability < 1 → объект выпадает из системы:
- забывается;
- разрушает доверие;
- не реплицируется;
- становится «символическим мусором».
3.4. Уравнение жизнеспособности слоя
Для культурного слоя Lᵢ:
ViabilityLi(t)=ΦLi(t)+ΨLi(t)−Di(t)Costcog(Li)\text{Viability}_{L_i}(t) = \frac{\Phi_{L_i}(t) + \Psi_{L_i}(t) - D_i(t)}{\text{Cost}_{cog}(L_i)}ViabilityLi(t)=Costcog(Li)ΦLi(t)+ΨLi(t)−Di(t)
Картинкой:

Где:
- Φ — когнитивная мощность: смысловая плотность слоя;
- Ψ — рефлексивность: способность слоя к обновлению;
- Dᵢ — внутренний шум: паразитные символы, рассогласования, дисфункции.
Слой деградирует, если стоимость его поддержки выше полезности для системы.
3.5. Когнитивный дефицит и смысловая инфляция
Если:
- много новых смыслов → Dᵢ ↑,
- агенты не успевают усваивать → Ψ ↓,
- смысловые структуры не поддерживаются инфраструктурно → Cost_cog ↑,
возникает когнитивный дефицит:
- старые смыслы обесцениваются;
- новые — не осваиваются;
- культура утрачивает предсказательную мощность.
Это и есть смысловая инфляция:
рост количества знаков и смыслов при падении их когнитивной покупательной способности.
3.6. Когнитивный бюджет системы
На уровне всей культуры/общества:
∑i=1NCostcog(Si)≤Rtotal\sum_{i=1}^{N} \text{Cost}_{cog}(S_i) \leq R_{total}i=1∑NCostcog(Si)≤Rtotal
Картинкой:

Смыслов в системе не может быть больше, чем она способна энергетически и инфраструктурно поддерживать.
Следствие:
- если когнитивная экспансия опережает ресурсную основу → фазовый переход, перегрузка, коллапс;
- если слишком строгая фильтрация — стагнация и утеря адаптивности;
- баланс — в точке максимальной когнитивной мощности при минимальной цене.
3.7. Перераспределение когнитивного бюджета
Когнитивные системы перераспределяют бюджет по:
- агентам (стратификация: одни агенты — рефлексивны, другие — миметичны);
- слоям культуры (одни развиты, другие вырождаются);
- институтам (одни насыщаются, другие забываются).
Это ведёт к системной когнитивной асимметрии — и к потенциальным точкам распада.
3.8. Принцип когнитивной экономичности
Цивилизация устойчива постольку, поскольку может позволить себе думать так, как она думает.
Культура должна быть:
- когнитивно эффективна — производить смыслы, которые работают;
- экономически реалистична — не создавать смыслов, которые невозможно удерживать;
- рефлексивно адаптивна — уметь менять когнитивную структуру, когда её содержание становится невыгодным.
Глава 4. Культура как система антиэнтропийной координации
4.1. Культура: не артефакт, а операционная система
В традиционных подходах культура — это:
- совокупность символов и текстов (семиотика),
- система норм и обычаев (антропология),
- стиль жизни и ценностей (социология).
Но в метатеории 2.0 культура — это физически реализуемая предиктивная система, обеспечивающая:
антиэнтропийную координацию агентов через согласование смыслов, фильтрацию информации и легитимацию действий.
4.2. Функции культуры в когнитивно-физической системе
|
Функция |
Описание |
|
Смысловая фильтрация |
Отбор реплицируемых и устойчивых моделей мира |
|
Нормативная координация |
Превращение моделей в коллективные правила |
|
Семиотическая компрессия |
Снижение когнитивной нагрузки через символы |
|
Институциональная стабилизация |
Закрепление паттернов в организационных структурах |
|
Онтологическая легитимация |
Поддержка образа мира и реальности |
|
Мета-адаптация |
Обновление когнитивной оболочки при изменении среды |
Культура = энергетически дешёвый способ согласовать поведение множества агентов.
4.3. Архитектура культуры: слоистая модель
Каждый слой выполняет особую функцию:
|
Слой |
Функция |
Пример |
|
L_sem (семиотика) |
Символическая навигация |
Язык, знаки, логотипы |
|
L_narr (нарратив) |
Фрейминг и идентичность |
Мифы, нации, исторические сюжеты |
|
L_inst (институты) |
Регуляция поведения |
Суд, армия, семья |
|
L_aff (аффекты) |
Эмоциональная синхронизация |
Ритуалы, праздники, горе |
|
L_cog (когниция) |
Моделирование и оценка |
Категории, логика, знание |
|
L_onto (онтология) |
Картина мира, онтос |
Что существует, что возможно |
|
L_meta (рефлексия) |
Обновление смысловой архитектуры |
Философия, критика, этика |
4.4. Смысл как антиэнтропийная единица
Смысл — это:
структурированная информация, которая снижает неопределённость и экономит когнитивные ресурсы, позволяя агенту действовать быстрее и точнее.
Смысл возникает на пересечении:
- модели (P),
- опыта (F),
- согласования с другими (A + I).
Без смысловой компрессии — поведение невозможно, потому что каждое действие требует огромных вычислений.
4.5. Когнитивная координация как основа устойчивости
Согласование смыслов = устойчивость системы:
Coh(t)=f(∑i=1NOverlap(Mi,Mj)−DM)\text{Coh}(t) = f\left( \sum_{i=1}^{N} \text{Overlap}(M_i, M_j) - D_M \right)Coh(t)=f(i=1∑NOverlap(Mi,Mj)−DM)
Картинкой:

Где:
- Overlap(Mᵢ, Mⱼ) — пересечение моделей агентов;
- D_M — семантическая дивергенция;
- Coh — мера когнитивной когерентности культуры.
Культура разрушится, если D_M ↑, а Coh ↓, и при этом нет ресурсов на реструктуризацию (Ψ ≈ 0).
4.6. Культура как репликатор и ограничитель
Культура:
- реплицирует себя через нарративы, обряды, символы;
- ограничивает пространство мысли — не всё «можно подумать» в рамках конкретной культуры;
- оптимизирует когнитивные расходы на координацию;
- институционализируется — переходит в материальную форму.
Следствие:
Культура — это предиктивная и ресурсосберегающая оболочка, а не просто «традиции».
4.7. Уравнение стоимости культуры
Для всей культуры C_cult:
Viabilitycult=∑(ΦLi+ΨLi)−∑DLi∑Costcog(Li)\text{Viability}_{cult} = \frac{\sum \left( \Phi_{L_i} + \Psi_{L_i} \right) - \sum D_{L_i}}{\sum \text{Cost}_{cog}(L_i)}Viabilitycult=∑Costcog(Li)∑(ΦLi+ΨLi)−∑DLi
Картинкой:

Культура жизнеспособна, если:
- смысловая мощность > стоимость её поддержания;
- внутренние шумы и дивергенция не превышают уровень когнитивной устойчивости;
- агенты поддерживают слои через институты и инфраструктуру.
4.8. Коллапс культуры = рассогласование слоёв
Коллапс происходит при:
- рассинхронизации слоёв (например, L_narr не согласуется с L_onto);
- истощении когнитивных ресурсов агентов;
- отсутствии фильтрации смыслов (нарративный хаос);
- накоплении паразитных структур (Dᵢ ↑);
- потере способности к метаобновлению (Ψ ↓).
Как организм умирает от системной недостаточности, так культура — от информационно-энергетической рассогласованности.
Глава 5. Институции как структурные фильтры смысла
5.1. От формальных организаций к смысловым стабилизаторам
В классической теории институты — это:
- устойчивые правила поведения (North),
- культурно закреплённые нормы (Douglas),
- формальные и неформальные ограничения.
Но в метатеории 2.0 институт — это прежде всего:
структурный фильтр, стабилизирующий циркуляцию смыслов и когнитивных паттернов в культуре.
5.2. Институт как когнитивно-энергетическая структура
Институт:
- сохраняет и транслирует согласованные предсказания;
- ограничивает пространство допустимых действий;
- распределяет доступ к ресурсам и легитимным моделям;
- материализует культурные слои через ритуал, право, процедуру.
Институт — это предиктивный стабилизатор, сохраняющий когнитивную согласованность при минимуме затрат.
5.3. Формализация: институциональная функция F_inst
Институциональная адаптивность определяется как:
Finst(t)=f(Stability,Plasticity,CohLi,Energysustain)F_{inst}(t) = f\left( \text{Stability}, \text{Plasticity}, \text{Coh}_{L_i}, \text{Energy}_{sustain} \right)Finst(t)=f(Stability,Plasticity,CohLi,Energysustain)
Картинкой:

Где:
- Stability — способность удерживать структуру;
- Plasticity — способность к трансформации;
- Coh_{Lᵢ} — согласованность между слоями (семиотика, нарратив, нормы);
- Energy_sustain — затраты на поддержку института.
Чем выше F_inst, тем выше способность культуры удерживать устойчивость при изменении среды.
5.4. Институт как когнитивный протокол
Институт = код, определяющий формат взаимодействия агентов.
Он:
- ограничивает выбор;
- нормирует ожидания;
- упрощает предсказание поведения других;
- реплицирует себя через обучение, ритуалы, санкции.
Пример:
- суд → институционализированная форма разрешения конфликтов;
- университет → механизм репликации и фильтрации когнитивных паттернов;
- деньги → код упрощённого измерения стоимости.
5.5. Институционализация слоёв культуры
Каждый слой Lᵢ может быть институционализирован, т.е. материализован через:
|
Слой (Lᵢ) |
Институционализация |
|
L_sem |
система письма, алфавит, языкознание |
|
L_narr |
СМИ, кино, национальные истории |
|
L_inst |
законодательство, нормативные коды |
|
L_aff |
церемонии, государственные праздники |
|
L_cog |
система образования, наука |
|
L_onto |
религия, философия, манифесты |
|
L_meta |
академия, метадискурс, этические комитеты |
Институционализация — это способ закрепить слой, превратить его из флуктуации в устойчивый механизм.
5.6. Когнитивная стоимость института
Каждый институт потребляет ресурсы и имеет цену:
Costinst=E+I+T+A\text{Cost}_{inst} = E + I + T + ACostinst=E+I+T+A
Картинкой:

Где:
- E — инфраструктурные расходы;
- I — информационная нагрузка;
- T — затраты времени на поддержку (процедуры, правила);
- A — внимание и участие агентов.
Институт жизнеспособен, если:
Viabilityinst=Cohcult+ΦstabilizationCostinst>1\text{Viability}_{inst} = \frac{\text{Coh}_{cult} + \Phi_{stabilization}}{\text{Cost}_{inst}} > 1Viabilityinst=CostinstCohcult+Φstabilization>1
Картинкой:

5.7. Кризис институтов = кризис фильтрации смыслов
Когда:
- институты утрачивают Plasticity,
- перегружены шумами (E_noise ↑),
- разорваны связи между слоями культуры (Coh ↓),
- агенты утрачивают доверие (R_trust ↓),
происходит фазовый переход → институциональная неэффективность, рост неопределённости, фрагментация.
5.8. Институции как гиперобъекты
Некоторые институты со временем становятся гиперобъектами, т.е.:
- непрозрачными,
- инерционными,
- самовоспроизводящимися независимо от текущей когнитивной среды.
Примеры: Государство, Деньги, Религия, Академия, Платформа, Капитализм.
Они формируют глобальные поля смыслов, в которые встроены миллиарды агентов — часто бессознательно.
Глава 6. Гиперобъекты как аккумуляторы когнитивной стоимости
6.1. Что такое гиперобъект?
Понятие гиперобъекта (T. Morton) описывает такие системы, которые:
- распределены во времени и пространстве (не локализуемы),
- превышают масштаб человеческого восприятия,
- неподвластны прямому управлению или полному пониманию.
В метатеории 2.0 гиперобъекты рассматриваются как:
культурные и институциональные структуры, обладающие высокой когнитивной стоимостью и собственной динамикой, влияющей на мышление и действия агентов нелокально и системно.
6.2. Примеры гиперобъектов
|
Гиперобъект |
Сфера |
Примеры |
|
Государство |
Политика/право |
Российская Федерация, ООН |
|
Деньги |
Экономика |
Валюты, долговые системы |
|
Язык |
Семантика |
Английский, китайский |
|
Интернет |
Инфраструктура |
Цифровая инфосфера |
|
Капитализм |
Институционально-экономическая |
Мировая экономическая система |
|
Религия |
Онтология |
Христианство, ислам |
|
Наука |
Эпистемология |
Академические институты, публикации |
|
Ноосфера (будущее) |
Планетарная когнитивная оболочка |
Глобальная система координации |
6.3. Ключевые свойства гиперобъектов
|
Свойство |
Пояснение |
|
Смысловая инерция |
Они сохраняют и транслируют паттерны дольше, чем агенты живут |
|
Нелокальность |
Их влияние не ограничено одним местом или временем |
|
Неинтуитивность |
Они непрозрачны и не поддаются полной рационализации |
|
Семантическая автономия |
Они могут «жить» своей смысловой жизнью независимо от намерений агентов |
|
Поглощение смыслов |
Они структурируют другие смыслы (архисмыслы) |
6.4. Формализация гиперобъекта Gᵢ
Каждый гиперобъект имеет:
Gi=(∑jLjGi,∑kFinstGi,ΦGi,ΨGi,CostGi)G_i = \left( \sum_{j} L_{j}^{G_i}, \sum_{k} F_{inst}^{G_i}, \Phi_{G_i}, \Psi_{G_i}, Cost_{G_i} \right)Gi=(j∑LjGi,k∑FinstGi,ΦGi,ΨGi,CostGi)
Картинкой:

Где:
- L_j^{Gᵢ} — слои культуры, встраиваемые в гиперобъект (семантика, нарратив и др.);
- F_inst^{Gᵢ} — институции, закрепляющие его;
- Φ_{Gᵢ} — когнитивная плотность (сколько смыслов удерживает);
- Ψ_{Gᵢ} — способность к рефлексивной трансформации;
- Cost_{Gᵢ} — энергетическая и когнитивная цена поддержки гиперобъекта.
Гиперобъект устойчив, если:
ViabilityGi=ΦGi+ΨGi−DGiCostGi>1Viability_{G_i} = \frac{\Phi_{G_i} + \Psi_{G_i} - D_{G_i}}{Cost_{G_i}} > 1ViabilityGi=CostGiΦGi+ΨGi−DGi>1
Картинкой:

6.5. Гиперобъекты как контуры смысловой гравитации
- Они притягивают нарративы, символы, институты и поведение;
- Могут деформировать культурные поля (например, деньги → искажение академии);
- Способны к резонансному взаимодействию друг с другом:
- религия × государство → теократия,
- капитализм × интернет → платформенный контроль,
- язык × наука → когнитивная экспансия.
Это можно моделировать как поля когнитивного притяжения, аналогично гравитационным.
6.6. Динамика гиперобъектов: рост и деградация
|
Фаза |
Признаки |
|
Рост |
Увеличение количества вовлечённых слоёв и агентов; институционализация; рост доверия |
|
Зрелость |
Автоматизация репликации; внедрение в базовые процессы культуры |
|
Фрагментация |
Рост внутреннего D; снижение Ψ; рассогласование с внешними слоями |
|
Деградация |
Паразитное существование; воспроизводство без смысла; обесценивание |
Пример: университет → фабрика дипломов → потеря эпистемологической функции.
6.7. Роль гиперобъектов в метаструктуре культуры
Гиперобъекты — это каркасы, через которые культура удерживает долгосрочную когнитивную согласованность.
Они:
- позволяют выносить смысл за пределы одного поколения;
- создают каналы когнитивной инерции и трансляции;
- становятся точками фиксации смысловой топологии культуры;
- но при этом подвержены закону:
Смысл, не обеспеченный адаптацией, становится токсичным.
Глава 7. Марковские поля слоёв и экономика смыслов
7.1. Переход от структуры к вероятностной динамике
До этого момента слои культуры, гиперобъекты и агенты описывались как структуры с переменными, функциями и связями.
Теперь — следующий уровень:
Переход от структурной топологии → к вероятностной модели когнитивной эволюции смыслов.
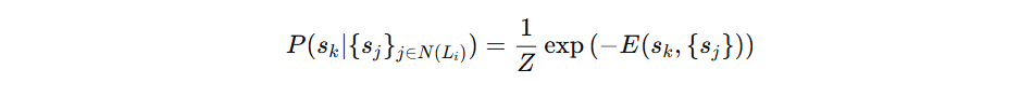
Вводим понятие:
Марковское поле культурного слоя (Cultural Markov Field, CMF) — вероятностное распределение смысловых состояний в пределах слоя Lᵢ, зависящее от его соседних и вложенных состояний.
7.2. Что такое культурное марковское поле
Это обобщение идеи Марковских случайных полей из статистической физики и ИИ (например, CRF), применённое к смысловой динамике:
CMF(Lᵢ) описывает:
- возможные состояния смыслов в слое Lᵢ в момент времени t;
- вероятности переходов между ними;
- зависимость от состояния других слоёв и агентов.
7.3. Формализация CMF
Для слоя Lᵢ и его состояний s₁, s₂, ..., sₙ:
P(sk∣{sj}j∈N(Li))=1Zexp(−E(sk,{sj}))P(s_k | \{s_j\}_{j \in N(L_i)}) = \frac{1}{Z} \exp\left( -E(s_k, \{s_j\}) \right)P(sk∣{sj}j∈N(Li))=Z1exp(−E(sk,{sj}))
Картинкой:

Где:
- N(Lᵢ) — соседние или вложенные слои;
- E(...) — энергия согласования (рассогласование увеличивает «цену» состояния);
- Z — нормирующий множитель (разделённая когнитивная мощность).
Аналогично квантовым моделям: каждое состояние имеет смысловую цену и вероятность, определяемую всей архитектурой культуры.
7.4. Интерпретация: что значит состояние поля?
- s_k — это конфигурация смыслов: например, определённый нарратив, модальный фрейм, образ или норма;
- вероятность P(s_k) — это шанс, что данный смысл будет:
- воспринят агентом как релевантный;
- воспроизведён институтом;
- включён в гиперобъект.
CMF описывает динамику смыслов как термодинамическую статистику смысловой экосистемы.
7.5. Согласованность между полями
Слои культуры не существуют изолированно. CMF каждого слоя Lᵢ зависит от других:
CMF(Li)∼∑jwij⋅CMF(Lj)CMF(L_i) \sim \sum_j w_{ij} \cdot CMF(L_j)CMF(Li)∼j∑wij⋅CMF(Lj)
Картинкой:

Где wᵢⱼ — вес связности между слоями.
Если слои не согласованы → смысловое поле становится хаотичным, перегруженным или расщеплённым, и когнитивная архитектура теряет устойчивость.
7.6. Экономика смыслов как энергия в CMF
Каждое состояние имеет свою когнитивную стоимость Cost(s_k):
- смысл дорого поддерживать → его вероятность понижается;
- смысл энергоэффективен → повышается.
Это аналогично энергетическому распределению:
P(sk)∼exp(−Cost(sk)Tcog)P(s_k) \sim \exp\left( - \frac{Cost(s_k)}{T_{cog}} \right)P(sk)∼exp(−TcogCost(sk))
Картинкой:

Где T_{cog} — «температура» когнитивной среды (шум, флуктуации, нестабильность).
При высокой T_{cog} — система становится хаотичной, при низкой — замороженной, фиксированной.
7.7. CMF и гиперобъекты
Гиперобъекты можно моделировать как узлы, искажающие культурное поле:
- они изменяют вероятности смыслов (P(s_k)) в слое;
- вводят поля «смысловой гравитации»;
- могут «запирать» поле в устойчивую, но нефункциональную конфигурацию.
Это объясняет, почему реформы без работы с гиперобъектами бессмысленны — смысловое поле просто возвращается в прежнее состояние.
7.8. Применение: прогноз фазовых переходов
Изменение формы CMF может сигнализировать:
- нарастание смыслового шума;
- высокую вероятность культурного раскола;
- предстоящую доминантную смену (смена главного нарратива, краха института).
Фазовый переход = скачкообразное изменение доминирующего состояния CMF.
7.9. Визуализация: топология смыслового поля
Смысловую структуру можно представить как:
- граф (узлы — смыслы, связи — когнитивные переходы),
- или ландшафт (вершины — устойчивые смыслы, долины — забытые),
- или температурное поле (по оси времени — изменение устойчивости смыслов).
Это создаёт визуальный интерфейс для диагностики и коррекции культурной динамики.
Глава 8. Устойчивость как баланс когнитивной плотности и ресурсной базы
8.1. Что такое устойчивость в когнитивно-физической системе?
Устойчивость = способность культуры, общества или гиперобъекта сохранять структурную когерентность и продолжать воспроизводство когнитивных паттернов в условиях:
- ограниченности ресурсов,
- ростa энтропии,
- внешнего давления или изменений среды.
Это не равновесие, а динамическая предиктивная стабильность.
8.2. Критерии устойчивости
Система устойчива, если:
- Когнитивная плотность (Φ) достаточна для удержания смыслов и координации агентов;
- Мета-рефлексия (Ψ) работает — система способна к адаптации и самонаблюдению;
- Институциональная адаптивность (F_inst) не ниже порога;
- Ресурсная база (R_total) позволяет покрыть когнитивную стоимость всех поддерживаемых смыслов и структур.
8.3. Формула устойчивости
(CKRA)+EC+DM+λ⋅KStrat<θ(Ψ,Finst,Rtotal)\boxed{ \left( \frac{C_K}{R_A} \right) + E_C + D_M + \lambda \cdot K_{Strat} < \theta(\Psi, F_{inst}, R_{total}) }(RACK)+EC+DM+λ⋅KStrat<θ(Ψ,Finst,Rtotal)
Картинкой:

Где:
- C_K — когнитивная сложность (кол-во независимых смысловых кластеров),
- R_A — ресурсы (энергия, внимание, инфраструктура),
- E_C — энтропийный шум,
- D_M — семантическая дивергенция (расхождение культурных кодов),
- K_{Strat} — когнитивная стратификация,
- λ — коэффициент культурной поляризации,
- θ — допустимый предел смысловой нагрузки, зависящий от уровня:
- Ψ — метарефлексии,
- F_{inst} — адаптивности институтов,
- R_total — общей ресурсной ёмкости системы.
Смысл: если когнитивная нагрузка превышает предельную устойчивость системы → возникает фазовый переход, кризис, деградация.
8.4. Три зоны устойчивости
|
Зона |
Условия |
Сценарий |
|
🟩 Устойчивость |
Низкий D_M, высокая Ψ, сбалансированный Φ |
Согласование, обновление, рост |
|
🟨 Латентная нестабильность |
Рост E_C, перегрузка смыслов, снижение Ψ |
Стагнация, выгорание, замедленная деградация |
|
🟥 Кризис / переход |
Взрывной рост D_M или K_{Strat}, коллапс институтов |
Коллапс, революция, фрагментация |
8.5. Когнитивная плотность и смысловой носитель
Когнитивная плотность (Φ) — мера:
- насыщенности смыслами (не шумом!),
- согласованности моделей,
- глубины нарративов,
- способности удерживать рефлексивную оболочку.
Условие:
Смысловая структура должна быть плотной, но не перенасыщенной.
Перенасыщение без поддержки ведёт к инфляции и фрагментации.
8.6. Поддержка когнитивной плотности: инфраструктура
Чтобы удерживать Φ, нужны:
- образовательные и смысловые институты (наука, медиа, академия),
- доступ к когнитивным ресурсам (библиотеки, коды, языки),
- поддержка рефлексивных агентов,
- фильтрация паразитных смыслов (противодействие инфошуму).
Культура не может держать плотность без институционального носителя и энергетической базы.
8.7. Устойчивость = согласование слоёв + ресурсное покрытие
Система устойчива, если:
∑iCostcog(Li)≤RtotalиCohlayers≥Tmin\sum_{i} \text{Cost}_{cog}(L_i) \leq R_{total} \quad \text{и} \quad \text{Coh}_{layers} \geq T_{min}i∑Costcog(Li)≤RtotalиCohlayers≥Tmin
Картинкой:

Условия:
- нельзя поддерживать больше смыслов, чем позволяют ресурсы;
- слои культуры должны резонировать, а не противоречить друг другу;
- согласованность между L_sem, L_narr, L_inst, L_onto критична.
8.8. Парадокс устойчивости
Слишком высокая устойчивость → жёсткость → неспособность к адаптации.
Слишком низкая устойчивость → хаос и деградация.
Истинная устойчивость = пороговая метастабильность, баланс между:
- смысловой плотностью,
- адаптивностью,
- экономической реалистичностью,
- открытостью к саморефлексии.
Глава 9. Модели фазовых переходов и ресурсных коллапсов
9.1. Общая постановка
Любая когнитивно-физическая система — от общества до гиперобъекта — подвержена фазовым переходам: резким и часто необратимым изменениям структуры, обусловленным:
- исчерпанием ресурсов,
- ростом смысловой энтропии,
- разрушением институциональной связности,
- утратой когнитивной синхронизации агентов.
Фазовый переход = точка, в которой когнитивная и ресурсная нагрузка превышает возможности системы по саморегуляции.
9.2. Примеры фазовых переходов
|
Тип перехода |
Пример |
Механизм |
|
Коллапс |
Распад СССР, падение Римской империи |
Резкое расслоение, дефицит ресурсов |
|
Синтез |
Просвещение, создание Интернета |
Координация смыслов, ресурсное усиление |
|
Революция |
Французская революция, Майдан |
Разрыв легитимности и смысловой нагрузки |
|
Стагнация |
Брежневский застой, поздняя Османская империя |
Застой когнитивной структуры, блокировка адаптации |
9.3. Общая модель фазового перехода
Переход происходит при нарушении критического неравенства:
(CKRA)+EC+DM+λ⋅KStrat>θ(Ψ,Finst,Rtotal)\boxed{ \left( \frac{C_K}{R_A} \right) + E_C + D_M + \lambda \cdot K_{Strat} > \theta(\Psi, F_{inst}, R_{total}) }(RACK)+EC+DM+λ⋅KStrat>θ(Ψ,Finst,Rtotal)
Картинкой:

Где:
- Левая часть: когнитивная и смысловая нагрузка,
- Правая часть: предиктивно-ресурсная способность системы.
При превышении — дестабилизация.
9.4. Типология переходов по доминирующему фактору
|
Фактор |
Переход |
Условия |
|
R_A ↓ |
Ресурсный коллапс |
Истощение энергетической или демографической базы |
|
D_M ↑ |
Нарративный крах |
Фрагментация нарративов, потеря общего смысла |
|
K_{Strat} ↑ |
Когнитивное расслоение |
Рост различий в мышлении и доступе к смыслам |
|
Ψ ↓ |
Стагнация |
Утрата способности к мета-обновлению |
|
F_{inst} ↓ |
Институциональный распад |
Падение доверия, неработоспособность институтов |
9.5. Граф фазового перехода
Состояние системы S(t) можно представить как точку на поверхности:
F(x,y,z)=(Φ,Ψ,Rtotal)F(x, y, z) = \left( \Phi, \Psi, R_{total} \right)F(x,y,z)=(Φ,Ψ,Rtotal)
Картинкой:

- Внутри поверхности — устойчивая зона,
- За её пределами — переходная динамика,
- Переход — скачок между конфигурациями CMF (марковских полей слоёв).
Система может оставаться устойчивой даже при росте C_K, если одновременно растут Ψ и R_total.
9.6. Флуктуации и предвестники переходов
Перед фазовым срывом наблюдаются:
- рост нестабильности смыслов (D_M ↑, Φ ↓);
- ускорение инфошума (E_C ↑);
- падение доверия к институтам (F_{inst} ↓);
- рост поляризации (K_{Strat} ↑);
- появление когнитивных резонансов, которые не интегрируются в культуру.
Эти признаки можно зафиксировать как пороговые значения в когнитивной метрике.
9.7. Механизмы стабилизации (превентивные меры)
Чтобы остановить фазовый переход:
- Реструктуризация институтов → повышение F_{inst};
- Снижение когнитивной стоимости смыслов → через инфраструктуру и образование;
- Когнитивная коррекция → запуск мета-рефлексии (Ψ ↑);
- Целевое упрощение и очистка смыслового поля → снижение D_M;
- Инвестиции в когнитивную доступность → снижение K_{Strat}.
9.8. Уравнение перезапуска (синтеза)
Для культурного синтеза должны выполняться условия:
(Φ+Ψ+Cohcult)−(DM+EC)>τ(Complexitysys)\boxed{ \left( \Phi + \Psi + \text{Coh}_{cult} \right) - \left( D_M + E_C \right) > \tau(\text{Complexity}_{sys}) }(Φ+Ψ+Cohcult)−(DM+EC)>τ(Complexitysys)
Картинкой:

Где:
- Левая часть: когнитивная сила согласованности,
- Правая часть: порог синтеза, зависящий от сложности системы.
Синтез происходит, когда смысловая и рефлексивная мощность превышают распад.
9.9. Пример сценарной модели (упрощённо)
Условный сценарий "страна X", 2025–2030:
|
Параметр |
2025 |
2027 |
2030 |
|
R_total |
100 |
85 |
70 |
|
C_K |
60 |
65 |
68 |
|
D_M |
15 |
25 |
38 |
|
K_{Strat} |
10 |
20 |
30 |
|
Ψ |
20 |
15 |
12 |
|
F_{inst} |
40 |
25 |
18 |
|
Вывод |
🟨 |
🟥 |
Коллапс |
При отсутствии интервенции — нелинейный распад координации и утрата культурной когерентности.
Глава 10. Стратегии когнитивной коррекции и энергетическая адаптация
10.1. Зачем нужна коррекция?
Любая диссипативная когнитивная система (общество, культура, гиперобъект) естественным образом стремится к росту сложности, но:
- этот рост сопровождается увеличением когнитивной стоимости;
- при ограниченности ресурсов это ведёт к нестабильности;
- смысловые структуры начинают конкурировать за внимание, институциональное закрепление и воспроизводимость.
Когнитивная коррекция — это сознательное вмешательство в архитектуру смыслов, направленное на восстановление когерентности и снижение нагрузки на систему.
10.2. Цели когнитивной коррекции
- Восстановление согласованности слоёв культуры (семиотика, нарратив, институции);
- Снижение смысловой энтропии и паразитных структур (D_M ↓);
- Повышение рефлексивной способности агентов (Ψ ↑);
- Перераспределение когнитивного бюджета в пользу адаптивных слоёв и смыслов;
- Снижение когнитивной стоимости базовых операций.
10.3. Основные стратегии когнитивной коррекции
🔹 1. Когнитивная дефрагментация
- Анализ CMF (марковских полей) и выявление противоречий между слоями;
- Диагностика семантических разрывов;
- Запуск программ смыслового согласования (через образование, культурные платформы, новые институции).
🔹 2. Мета-рефлексивная активация
- Поддержка философских, этических, стратегических дискурсов;
- Создание пространств для критического мышления (think tanks, академии, культурные форумы);
- Институционализация мета-рефлексии.
🔹 3. Снижение когнитивной стоимости
- Повышение доступности смыслов (язык, перевод, формы подачи);
- Стандартизация и модульность смыслов (когнитивный UX);
- Использование ИИ в качестве фильтра и квалитативного синтезатора.
🔹 4. Очищение смыслового поля
- Диагностика и устранение паразитных нарративов, шумов, инфляционных конструкций;
- Фильтрация контента через институционально и семантически обоснованные критерии;
- Формирование смысловой гигиены (аналог медико-санитарной, но для культуры).
🔹 5. Когнитивное перераспределение
- Перенаправление внимания, ресурсов и времени в сторону низконагруженных, но системно важных смыслов;
- Поддержка агентов с высокой Ψ и Φ как культурных регуляторов;
- Создание "когнитивных социальных пакетов" (доступ к рефлексивной инфраструктуре).
10.4. Энергетическая адаптация: восстановление ресурсной базы
Смысловая коррекция невозможна без физической адаптации. Нужно:
- уменьшить когнитивную нагрузку на агентов → через инфраструктуру;
- перераспределить ресурсы в пользу смысловых производств (образование, наука, искусство);
- увеличить R_total за счёт энергетической модернизации: новых технологий, автоматизации, логистической эффективности.
Экономика и когниция неотделимы: ресурсная недоступность = культурная деградация.
10.5. Принцип минимальной когнитивной достаточности
Система не должна «думать» больше, чем она может себе позволить.
Принцип минимальной когнитивной достаточности:
Культура жизнеспособна, если сумма активных смыслов, моделей и институтов укладывается в ресурсную ёмкость и когнитивную мощность агентов.
Уравнение:
∑i=1NCostcog(Si)≤Rtotal⋅μ(Φavg,Ψavg)\sum_{i=1}^{N} \text{Cost}_{cog}(S_i) \leq R_{total} \cdot \mu(\Phi_{avg}, \Psi_{avg})i=1∑NCostcog(Si)≤Rtotal⋅μ(Φavg,Ψavg)
Картинкой:

Где:
- μ(...) — коэффициент смысловой переносимости системы.
10.6. Сценарные варианты коррекции
|
Сценарий |
Механизмы коррекции |
|
Просвещенческий синтез |
Энергетическая модернизация + смысловая гармонизация |
|
Культурный поворот |
Масштабная дефрагментация + институциональное переосмысление |
|
Рефлексивная мобилизация |
Поддержка интеллектуального ядра + запуск критической фазы |
|
Антиэнтропийная эволюция |
Стратегическое снижение сложности + повышение когнитивного КПД |
10.7. Когнитивная коррекция и ИИ
ИИ может быть:
- фильтром смыслов (анализ CMF, удаление шумов),
- агентом структурирования (встраивание в институты),
- координатором когнитивных цепей,
- ускорителем рефлексии (модель системной мета-подсказки).
Но также: ИИ усиливает когнитивную асимметрию, если доступ к нему ограничен.
Глава 11. Ноосфера как глобальный режим когнитивной утилизации энергии
11.1. От культуры к планетарной когнитивной системе
В рамках представленной метатеории человечество эволюционирует:
- от локальных культур (ограниченных ресурсно и когнитивно),
- через цивилизации (когнитивно-энергетические кластеры с институциональной репликацией),
- к ноосфере — глобальному когнитивному гиперобъекту, объединяющему:
распределённые агентные системы, культуры, институты и технологии в единую мета-систему предиктивной саморегуляции.
Ноосфера — это не абстракция, а физически реализуемая когнитивно-энергетическая инфраструктура, формирующая:
- смысловое пространство планеты,
- глобальные когнитивные потоки,
- систему фильтрации и управления сложностью.
11.2. Исторический вектор
|
Этап |
Уровень координации |
Ограничения |
|
Локальные культуры |
Нарративно-семиотическая |
Ограниченность коммуникации и энергии |
|
Цивилизации |
Институционально-ритуальная |
Ограниченность согласования и адаптации |
|
Индустриум |
Инфраструктурная иерархия |
Ограниченность когнитивной гибкости |
|
Ноосфера (будущее) |
Планетарная когнитивная сеть |
Ограниченность мета-согласования и этики |
11.3. Что делает систему ноосферной?
Система становится ноосферной, когда:
- Глобальное когнитивное поле (CMF) существует и активно управляется;
- Потоки энергии и информации синхронизированы с потоками смыслов;
- Мета-рефлексия институционализирована и встроена в инфраструктуру;
- ИИ и технологии работают как интеграторы смысловой и физической среды, а не как паразиты;
- Энтропия управляется сознательно, а не реактивно.
11.4. Ноосфера как режим утилизации энергии в смыслы
Главная функция ноосферы:
Преобразование избыточной энергии человечества в устойчивые, высокоэффективные формы когнитивной координации.
Это:
- смысловой каркас действий и норм,
- система поддержания доверия на глобальном уровне,
- антиэнтропийная оболочка, предотвращающая культурный коллапс.
11.5. Модель глобального когнитивного уравнения
На уровне планеты:
∑i=1NΦi+Ψi−DiCostcog(i)≥Θplanet\sum_{i=1}^{N} \frac{\Phi_i + \Psi_i - D_i}{\text{Cost}_{cog}(i)} \geq \Theta_{planet}i=1∑NCostcog(i)Φi+Ψi−Di≥Θplanet
Картинкой:

Где:
- Φᵢ — когнитивная мощность агентов/систем,
- Ψᵢ — способность к рефлексии,
- Dᵢ — уровень шумов/деструктивных смыслов,
- Cost_cog — цена когнитивного цикла,
- Θ_{planet} — глобальный порог устойчивости.
Если не выполнено → система перегревается (инфляция смыслов, война, коллапсы).
11.6. Архитектура ноосферы (эскиз)
|
Компонент |
Функция |
|
Смысловые ядра |
Глобальные культурные и нарративные центры |
|
Мета-институты |
Структуры когнитивной адаптации и координации |
|
Инфосфера |
Потоки данных, фильтрация и приоритизация |
|
Техно-субстраты |
ИИ, киберфизические системы, цифровая инфраструктура |
|
Гиперобъекты 2-го порядка |
Язык, климат, ИИ, глобальная экономика как интегрирующие поля |
11.7. Условия возможного возникновения ноосферы
- Технологическая сингулярность без смыслового коллапса;
- Глобальная этическая рамка, способная преодолеть культурный релятивизм;
- Новая семантика и логика, способные удерживать гиперсложные поля смыслов;
- Образование как инфраструктура смысловой гигиены;
- ИИ как когнитивный интерфейс, а не как управляющий субъект.
Это не «одна культура», а режим согласованного когнитивного многообразия.
11.8. Новая форма антропологии
В ноосфере человек — это:
агент когнитивной трансляции и наблюдатель смысловых полей, встроенный в сложную систему коллективного предсказания.
Индивидуальное мышление = элемент планетарного когнитивного цикла.
11.9. Риски ноосферы
|
Риск |
Последствие |
|
Смысловая гегемония |
Давление одной мета-культуры |
|
Когнитивная сегрегация |
Разрыв когнитивной инфраструктуры |
|
ИИ-централизм |
Замыкание на алгоритмическом управлении |
|
Псевдосогласованность |
Иллюзия устойчивости без рефлексии |
|
Утрата онтологического многообразия |
Потеря смысловой адаптивности |
11.10. Потенциальная формула перехода к ноосфере
Переход возможен, если:
∑(Φi+Ψi)transcultural∑Di+KStrat⋅Finstmeta≥Θnoos\boxed{ \frac{\sum (\Phi_i + \Psi_i)_{transcultural}}{\sum D_i + K_{Strat}} \cdot F_{inst}^{meta} \geq \Theta_{noos} }∑Di+KStrat∑(Φi+Ψi)transcultural⋅Finstmeta≥Θnoos
Картинкой:

Где:
- F_inst^{meta} — способность мета-институтов интегрировать различия;
- Θ_{noos} — минимальный порог ноосферной устойчивости;
- transcultural — охватывает всю когнитивную сеть человечества.
Заключение: Предиктивная культура как условие выживания
Синтез теории
В данной метатеории мы шаг за шагом прошли путь от локального когнитивного цикла агента до ноосферы как глобальной системы смысловой утилизации энергии. Мы показали, что:
- Культура — это не фоновое явление, а центральный механизм предиктивной саморегуляции общества как физико-когнитивной системы;
- Экономика — не просто «база», а структура ограничения, фильтрации и реализации смыслов;
- Институции, агенты, гиперобъекты и сами смыслы — физически реализуемые элементы диссипативной когнитивной динамики;
- Устойчивость — не результат равновесия, а результат энергетически допустимого когнитивного сопряжения между слоями, структурами и агентами;
- Когнитивные катастрофы, культурные деградации и цивилизационные кризисы — это энергетико-смысловые фазовые переходы, поддающиеся формализации, моделированию и — возможно — предотвращению.
Научные следствия
- Предложена единая онтология когнитивных, экономических и культурных процессов, основанная на термодинамике, теории информации и активном выводе;
- Введены ключевые показатели когнитивной стоимости, смысловой плотности, культурной устойчивости;
- Сформулированы уравнения жизнеспособности смыслов, институтов, гиперобъектов и культуры в целом;
- Разработана модель культурных марковских полей как вероятностной оболочки смысловой динамики;
- Представлен сценарный аппарат для диагностики фазовых переходов и стратегического проектирования устойчивости.
Практическая применимость
1. Стратегия развития государства и культуры
- Использование когнитивной метрики для определения перегрузки или деградации;
- Формирование образовательной и медийной политики на основе модели когнитивной достаточности.
2. Этика и дизайн ИИ
- Проектирование ИИ как агента когнитивной фильтрации, а не смысловой гегемонии;
- Встраивание ИИ в системы смысловой синхронизации, а не контроля.
3. Культурная безопасность
- Раннее выявление семантических разрывов, поляризаций, паразитных смыслов;
- Поддержка смысловых ядер и мета-институций.
4. Глобальное планирование
- Построение моделей перехода к ноосфере;
- Разработка трансдисциплинарных структур для смысловой интеграции человечества.
Методологические выводы
- Любое мышление, теория или концепт — это ресурсно ограниченное предсказание;
- Разум — не субъект, а процесс когнитивной координации в мультиагентной энергетической системе;
- Эпоха постмодерна сменяется эпохой когнитивной инженерии смыслов;
- Научное мышление — больше не только эпистемология, но и мета-семиотическая инженерия среды и систем.
Финальная формула
Разум=limt→∞(∑i=1NΦi+ΨiCostcog(Si)⋅Cohsystem(t))\boxed{ \text{Разум} = \lim_{t \to \infty} \left( \sum_{i=1}^{N} \frac{\Phi_i + \Psi_i}{\text{Cost}_{cog}(S_i)} \cdot \text{Coh}_{system}(t) \right) }Разум=t→∞lim(i=1∑NCostcog(Si)Φi+Ψi⋅Cohsystem(t))

Разум — это не свойство индивида, а мета-показатель согласованного воспроизводства смыслов, когнитивной плотности и способности к адаптации всей системы.
Приложение A. Глоссарий переменных
|
Обозначение |
Значение |
|
Φᵢ |
Когнитивная мощность агента/структуры |
|
Ψᵢ |
Способность к рефлексии |
|
C_K |
Когнитивная сложность системы |
|
D_M |
Семантическая дивергенция |
|
E_C |
Энтропийный шум в культуре или системе |
|
K_{Strat} |
Когнитивная стратификация (неравенство доступа к смыслам) |
|
F_{inst} |
Институциональная адаптивность |
|
Cost_{cog} |
Когнитивная стоимость поддержания или воспроизводства |
|
R_A, R_total |
Ресурсы агента или всей системы |
|
CMF |
Культурное марковское поле |
|
Coh |
Согласованность слоёв культуры |
|
Viability |
Жизнеспособность объекта (института, гиперобъекта, смысла) |
Комментарии
Цели и задачи последовательного создания сей парадигмы от меня ускользают. Ну взято за основу, что общество — физико-когнитивная система, а не что-то другое. Для чего именно так его рассматривать? В чём преимущество над конкурирующими парадигмами?
У вас есть сомнение что общество существует физически и представляет собой диссипативную систему? Если нет, то есть объективные пределы выживаемости общества. Именно объективные пределы в теории ясно обозначены. Как и условия гарантированного выживания. Но конечно мы всегда может провести "натурный эксперимент". Вы предлагаете "натурный эксперимент" - выживание? Или попробуем заставить рождаться и умирать вместо себя идеи и теории? Или будет наставать?
Ну вы же понимаете, что при сегодняшнем состоянии гуманитарных наук выбор исходной парадигмы — дело вкуса, а не необходимости. Вы можете оправдать свой выбор тем, что общество не рассматривалось также в этом аспекте, но то, что именно этот аспект критически важен для выживания общества (я верно понимаю?), вовсе не очевидно с общих позиций.
Я не только понимаю сегодняшнее состоянии гуманитарных наук, но и только что очень подробно и строго формально объяснил почему так и только так.
Можно строить любые теории и выбрать любую точку зрения, но только в пределах устойчивости системы. Потому что мертвым теории не нужны и точки зрения они не имеют.
Со стеной непонимания вы будете долго бороться.
Вы поняли что именно написано в теории? Видимо нет. Физика диссипативных систем беспощадна, информационная энтропия неумолима. Мне не нужно "бороться", просто даю объяснение что происходит и почему.
Потому что беспощадность и неумолимость, чего ж тут непонятного.
Напоминаю про предыдущую статью: https://aftershock.news/?q=node/1518543
"физико-когнитивные системы" = это химера, кентавр. Сначала докажите их существование!
Физические объекты - это про Объективную реальность (ОР),
Познание (когнитивное) - это про Субъективную реальность (СР).
"Система" (тут) - абстрактное понятие, не имеющее конкретной структуры и цели... т.е. без определений это любая отсебятина.
Может это "человекокомпютер", или ИИ, вселившийся в автомобиль?
Считаете, что общество - это механизм? Шаманство!
У вас есть сомнение в вашем существовании? Все верно понял?
Неверно поняли. Если вы "диссипативная система", или винтик механизма, то я - нет!
Вы не пьете и не кушаете? Питаетесь только "энергией вселенной"?
А у вашей "диссипативной системы" есть дети?
Это уже не физика а биология.
Что ваш ИИ скажет о возникновении Жизни?.
Если вы внимательно прочитаете теорию, то увидите чем разум отличается от ИИ (интеллекта вообще), и как уравновесить технологию ИИ в текущей разбалансированной системе с целью стабильного и устойчивого развития все системы до уровня ноосфера.
Коллапс культуры = рассогласование слоёв
Коллапс происходит при:
Налицо все признаки коллапса в этой сфере.
https://aftershock.news/?q=node/1518543
(в статье) Слишком много сферических коней в вакууме.
и "космические корабли бороздят просторы большого театра"
(слишком много неоправданного оптимизма в начале темных веков)
(слишком много информационного шума и спама)
***
Про реальность и людей забыто. В то время как люди (и реальность мальтузианской ловушки) вроде главное.
А люди (в основном белые) тупеют и деградируют (исключение ЮВА и Китай(со своим поздним образовательным и промышленным(промышленно революционным) ренессансом)).
Да и мальтузианская ловушка не делает жизнь людей лучше.
Ваш пост наглядная и доступная демонстрация данной теории.
Вы прямо продемонстрировали что случается в мышление общества когда оно приближается к когнитивному коллапсу.
сразу хочу сказать, что эта Ваша очередная статья показывает то, насколько легко Вы можете сопрягать в одном размышлении-рассуждении столько много разных подходов-заходов-теорий-концепций-терминов-понятий, как никто другой на этом форуме. Тем нагляднее выступают все подводные камни-несуразицы такого рода рассуждений (основанных на очень многих рассуждениях самых модных течений-подходов-теорий).
Один из самых важных недостатков такого рода подхода есть смешение понятий-теорий на основе классической науки (построение модели в виде формул, подчёркивающих "объективность и научность подхода") с рассуждениями про общественные явления и процессы в них.
При этом вводится много новых понятий-терминов, которые тут же объясняются (введение новых терминов становится понятным, даже обоснованным), но потом на этом только что введённом материале строятся дальнейшие рассуждения, создаются формулы, делаются выводы,и, наконец, звучит сакраментальная фраза: "ну вот, и я рассказал вам, как стать миллионером и вы можете прямо сейчас начать создавать своё состояние."
Я смотрю на только что прочитанный текст, что перед заключением, и не понимаю, о чём шла речь.
Скорее всего, если я прогоню этот текст через несколько циклов его анализа, то, возможно, чего-то и пойму.
Но: фокус в том, что такой объём информации о сверхсложных материях нужно интериоризировать с годик-другой, обкатывать в длительных дискуссиях-обсуждениях, что неизбежно приведёт к ряду уточнений-изменений и новому витку рассуждений и выводов.
Использовать то,что Вы здесь сегодня разместили, невозможно без глубокой переработки этого текста.
А оно нам надо?
Или так: а зачем нам это надо?
Что за задача стоит перед нами с Вами (и перед Вами и передо мной в равной степени), что мы с равным рвением станем этот текст обсуждать?
В любом случае, хотелось бы проговорить следующее:
1. вектор цели написания подобных текстов в разрезе того, какая такая насущная проблема подвигает нас на такие рассуждения. А это означает критический разбор того, что есть (было в истории) на волнующую нас тему (но сама тема как-то ещё толком не сформулирована).
2. Смешивание знаниевого наследия (инструментария, онтологий и приёмов рассуждения) классической науки, новейших придумок в стиле бозонов и торсионных полей, и хода рассуждений про когнитивные возможности людей и механизмы этого самого разума. Всё это использовать можно и нужно, но при этом надо чётко понимать, когда, почему и какой инструмент надо использовать.
3. а чтобы не смешивать прошлые достижения и новейшие изыски, механику и антропологию, надо вводить обсуждение типологии интеллектуального инструментария, ибо чем мы думать собираемся? Нейронами или смыслами? клавишами клавиатруы или содержательным обсуждением?
Общество лишившееся разума выжить не может. Банально потому что общество подчиняется термодинамике.
Если мы не станем обсуждать, то такой случай прямо описан в данной теории. Как и чем в таком случае закончится наше общество.
Тема прекрасно сформулирована задолго до нас. В СССР и США над этой темой работали огромные научные коллективы. Тут недавно выложили статью которая описывает предысторию из научного мышления СССР: https://aftershock.news/?q=blog/14395
Еще раньше было очень много философии на эту тему начиная с философии древнего мира. Все это ключевые вопросы эпистемологии и теории общества.
Это не "придумки" а вполне конкретные научные теории, причем на сегодня основные теории в своей области.
В статье прямо указано как мы на самом деле думаем и почему думаем.
В данном случае это буквально теория разума и ноосферы.
Прочитав все эти размышления,
Я хочу признаться вам, друзья.
Начал я метать лишь откровения
И метеоризм идей моя стезя... ))
в п. 9.2. - 9.4. (и вероятно в других частях)
не рассмотрен фактор межрегиональной межгрупповой межконфессиональной межгосударственной конкуренции включая методы экономической, политической (иформационной, религиозной, языковой, смысловой, промышленной) и военной борьбы. (холодная война, горячая война, скрытая (подковерная) война/борьба в условиях возможности (гарантированного или не очень) взаимного уничтожения).
При чтении примеров типов фазовых переходов (и объяснений) возникает впечатление что фазовый переход сам насрался.
Понятное дело что конкурентная борьба (за ресурсы и контроль над ними (полный синоним понятия власть (больше контроля ресурсов(включая человеческие) - больше власти))) с попеременным успехом идет всегда, но сильно обостряется в момент снижения кормовой базы(КБ), включая ресурсно-феодальную долговременную КБ. Принцип хомяков - которые понимают что надо иметь запасы (включая запасов на форс-мажор) кроме обеспечения текущих потребностей(запасов (что не портятся) много не бывает).
***
Следствие (недооценки подобного фактора).
Если вы не откладываете(в широком смысле) ресурсы (включая информационные) на конкурентную борьбу (особенно в периоды её обострения). [А зачастую лучший метод конкурентной защиты(или защиты от конкурентов) - это нападение(и иногда упреждающее)] значит рано или поздно конкуренцию вы проиграете. (Переформулировка фразы про "кормить свою армию".)
***
(теоретический) Момент когда обострение конкурентной борьбы (и напряженности) спадает. Когда ресурсные условия после начала конкурентного кризиса будут де-факто лучше чем до его начала (соответствующие ресусно популяционные точки на графике мальтузианской ловушки (перед точкой мальтузианской катастрофы складываются условиях для войн(как экстремум обострения конкуретной борьбы за ресурсы))). И график должен откатить к состоянию до данных обстоятельств чтобы реальный конфликт прекратился(все прочее это "борьба" с симптомами ведущими к конфликту(это загоняет болезнь вглубь, но реально не лечит её)).
***
Причем "ресурсные условия" понятие относительные. Т.е. концепция мальтузианской ловушки более многофакторно рассмотрена в условной монографии "Пределы роста". Если упростить, то факторы что подталкивают к фазовому переходу (или биологическое понятие из роста через стагнацию в к падению (каких-либо параметров)) это рост популяции и рост хотелок (потребностей / понятия нищета - животный уровень потребления/жизни и ниже на фоне даже достаточно тяжелого труда).
В цитате ничего не сказано о коллапсе популяционного воспроизводства (рост страхов будущего / рост пессимизма о будущем). Дикие звери в неволе не сильно то и размножаются (есть сомнения что это от хорошей жизни в неволе и нежелания тратить время на воспитание).
***
Т.е. (равновесные естественные) условия для перехода к жесткой конкуренции (за территории ресурсы и далее по списку) будут отменены если или когда(и/или):
1. Численность популяции резко и внезапно снизится при сохранении прочих условий (сценарий Таноса - внезапное уполовинивание населения).
2. Хотелки и потребности людей снизятся, а желание трудиться за чашку риса резко увеличится (по принципу "лишь бы не было войны"). (Из разряда как в анекдоте "купи козла" - "начни войну или парочку" и ты переродишься и внезапно захочешь жить трудиться и начнешь ценить жизнь или то что имешь и перестанешь гоняться за мрями).
3. Будет освоен термояд. Т.е. речь об увеличении доступности к ресурсам(начиная с энергетических). (здесь сразу надо более внимательно читать кн. Пределы роста. Т.е. проблема не только в энергетических ресурсах в их аккумуляции и логистике (еще есть и другие ресурсы, а также факторы экологии, чистая вода и воздух(все более ограниченное место на пляже) тоже ресурс)).
4. Будет освоен условный космический лифт в глубокий космос. А энергия и ресурсы будут транспортированы из космоса.
5. Роботизация (космоса) постановка на поток производства искинов
***
Конфликт заканчивается когда или если желание конфликтовать (и умирать за доступ к ресурсам и хотелкам) заканчивается.
Поэтому большие конфликты (включая вторую мировую) на самом деле не ведут к резкому снижению популяции. У людей проясняется в мозгах гораздо раньше. Особенно на фоне того что конфликты реально ведут к умножению на ноль накопленных богатств которое аккумулировано (реинвестировано для его сохранения/использования и для прибыли (захомячено)) в инфраструктуре и ништяках.
Это может звучать несколько парадоксально(и в чем-то грустно), но (в условиях ограниченности ресурсов особенно (в т.ч. виртуальной)) пропаганда потреблядства(как обратное к чему ведут результаты конфликтов), а также высокие доходы(и ставки) в конечном счете ведут к желанию людей рисковать и в итоге к войнам. "Птицы гибнут за еду, а люди за богатство". Т.е. эти вопросы управляемы в обе стороны(равновесны).
У вас есть сомнение что любое общество это диссипативная система и информационная система? Если нет, то как это работает на самом деле написано в теории. Можете конкурировать как хотите, проектировать любые
самовары"иксины", но физика диссипативных систем остается физикой, и прямо и однозначно диктует правила игры. То как вы мыслите, о чем вы мыслите, прямо следует из окружающей вас системы. Суровый когнитивный детерминизм. И он гораздо более беспощадный чем прежнее представление об историческом детерминизме. Таковы законы физики и информатики.Если собрались конкурировать с законами физики, ну так вы такой не первый, на этой планете полно мертвых цивилизаций которые уже попробовали в "конкуренцию" с законами природы.
Ваши тексты (совместные с нейросетями(с неизвестной долей вашего участия и авторства)) более чем близки к:
***
Сова на сове совой погоняет. Резонёрство.
***
Как уже отмечено выше также спам и инфомусор - информационный шум - отвлечение внимание. Одна и более нейросейть с инициативным дураком - столько текстов награфоманит что и 100 мудрецов в осадок выпадут через DDOS / DOS атаку.
Новый вид - отвлечения внимания и забивания дискуса бесполезным вентилятором. (см. стих выше)
Прочитайте мои статьи написанные до появления LLM и вы увидите в них тоже самое что написано в этой статье. В том числе вы увидите философские основания для LLM.
Если вы прочитали статью, то должны были уде понять как именно и какими средствами в рамках теории предлагается отличать информационный мусор и графоманию от знаний. В том числе почему ваше "стремление к конкуренции" бессмысленно и не работает. И почему не будет никаких "новых темных веков", а будет просто обыкновенная бойня и мировая война. А если продолжить идти прежним курсом, то это значит самоликвидация существующей культуры. Смерть культуры = цивилизационный коллапс. Когда исторические цивилизационный коллапс это самоуничтожение общества - коллективное самоубийство.
Ваше бы усердие да в нужное русло для получения практической пользы миру.
Например, есть задача создания ИИ не на основе языковой, а на основе математической модели. Требуется разработать новую теорию или взять хотя бы теорию состояний и как то её доработать до возможности применения, то можно как минимум получить универсального кодера, который никогда не делает ошибок и точно знает, как решать любые задачи программирования. Вот это был бы результат, который изменил мир, если бы получилось.
А то как в телепередаче все обо всем. Наука вещь строгая и бардака не любит.
Не то, чтобы размышлять глубоко и широко плохо, но пользы от такого немного.
Тут недавно вспоминали историю вопроса: https://aftershock.news/?q=blog/14395
Уверены что вы не предлагаете повторить прежние ошибки?
У меня не такая глобальная задача и нет нужды делать "думающие" модели. Этим пусть философы занимаются.
Моя задача заставить модель "понимать" программный код без сопутствующего языкового описания, чего сейчас не происходит. На мой взгляд наиболее простой способ это сделать или обучив чисто кодовую или математическую модель, которая конечно же абсолютно не будет понимать человеческие языки без конвертера, но зато будет идеально понимать код, логику и состояния в ходе работы программ и уметь моделировать эти состояния, как например сейчас моделируют видео и 3D с помощью ИИ. Точно также мы сможем моделировать любой софт.
Ну а дальше уже будет видно. Если "чистый" разум и существует, то единственное на чем он может быть основан это математика.
Вам нужен AGI. Что такое человеческий разум описывает данная теория.
Если вы немного подумаете, то поймете почему морфизмы между слоями культуры и марковы поля.
Разберитесь с историей вопроса, и поймете почему все предыдущие попытки создать "чистый разум" закончились провалом.
Да в этом мире каждая технология заканчивалась крахом тысячи раз, прежде чем начала работать. Чтение "историй" неудачников пустая трата времени. Работать нужно, а не страдать.
Отрицаете исторический опыт? Оригинально!
Еще раз, если вам так нужен AGI или ASI, то теория прекрасно объясняет как именно его сделать. Причем именно предыдущие попытки объясняют почему это нельзя сделать "чистый разум" или "копию разума человека". Все потому, что разум это история динамики диссипативной системы человечество и не может существовать без основы - диссипативной системы. Другими словами диссипативность как физическая основа и историческая невычислимость.