О роли комплексных чисел в науке
Комплексные числа (z=x+iy) прочно вошли в арсенал методов исследования окружающего нас Мира - от теории элементарных частиц до космологии. К сожалению, во всех теоретических моделях, они (комплексные числа) рассматриваются в качестве технического приема, облегчающего математические вычисления. Наблюдательные данные и экспериментальные результаты «объясняются» только с помощью вещественной части комплексного выражения, полученного из теоретического расчета. Мнимую часть отбрасывают, как не реальную (не наблюдаемую).
Цель данной статьи – показать, что наш Мир намного сложней и интересней, чем тот, который мы фиксируем с помощью наших несовершенных ощущений или инструментов. Он содержит кроме материальной составляющей еще и мнимую часть, такую же «реальную», как и вещественная часть.
Кратко напомним историю возникновения комплексных чисел. Хорошо известно, что корни математики уходят в глубокую древность и уже тогда ученые столкнулись с необычными числами. Пифагор (VI век до н.э.) придавал числам мистический смысл. Документальные сведения о необычных числах датируются 1545 годом, когда Джиронимо Кордано предложил создать новый вид чисел для решения некоторых уравнений. В 1552 году с комплексными аргументами Рафаэль Бомбелли установил первые правила арифметических операций над такими числами. Название «мнимые числа» ввел в 1637 году Рене Декарт. В 1707 году Абрахам де Муавр построил общую теорию корней уравнений любой степени. В 1777 году Леонард Эйлер предложил использовать первую букву французского слова imaginare (мнимые) для обозначения мнимой единицы. Этот символ вошел во всеобщее употребление благодаря Карлу Гауссу (1831 г.), который ввел термин «комплексные числа».
Комплексные числа в физике
Классическая физика. С XIX-го века комплексные числа стали неотъемлемой частью практически всех разделов физики. Главная особенность использования комплексных чисел заключается в том, что с их помощью удивительно легко и просто решаются задачи, принципиально нерешаемые в рамках математики вещественных чисел. С самых ранних этапов использования комплексных чисел, велись дискуссии о реальности результатов вычислений, содержащих не только действительную часть, но и часть с мнимой единицей. Особенно актуальным этот вопрос был в тех разделах классической физики (электрические цепи, передача информационных сигналов, гидродинамика, аэродинамика и др.), где результаты расчета непосредственно проверялись экспериментом. Здесь существуют многочисленные примеры наблюдений, описываемых комплексными числами. Наиболее четко это можно проследить на примере, так называемого, импеданса (Z) – комплексного полного сопротивления электрической цепи. Если придать току и напряжению комплексную форму, то закон Ома для сложной цепи, содержащей кроме омического сопротивления еще конденсатор и катушку индуктивности, сохраняет свой традиционный вид. Но теперь формула закона Ома будет содержать новое сопротивление в виде комплексного числа
Z:U = 𝑍𝐼 = (𝑖𝐿𝜔 + 𝑅)𝐼
(i - мнимая единица, U - напряженность, L – индуктивность, ω – частота, R – омическое сопротивление, I – электрический ток).
В самом общем случае, для любых сложных электрических цепей, сопротивление представляется в виде суммы активного (вещественного) и реактивного (мнимого). Физическое измерение (с помощью физических приборов) дает суммарное сопротивление. Теоретически можно выделить действительную и мнимую части, но зафиксировать их по отдельности, видимо невозможно. Основные свойства комплексных чисел легко обобщаются на случаи комплексных векторов и комплексных функций. Кроме того, комплексная плоскость позволяет применять, так называемые, конформные (подобные) отображения, упрощающие расчеты не только в электрических цепях, но и в задачах теплопроводности, гидродинамики и, даже, магнитных полях. Та же проблема реальности мнимых форм возникает при использовании, так называемого, интеграла Фурье в комплексном виде: в электрической цепи электродвижущую силу (эдс) можно с помощью интеграла Фурье рассматривать как сумму бесконечного числа синусоидальных колебаний. Анго приводит ряд примеров, когда комплексный интеграл Фурье следует рассматривать как физическую реальность. Его соображения применимы и к оптическим задачам, где имеется тесная связь между коэффициентом преломления и коэффициентом поглощения в виде соотношений, связывающих вещественную и мнимую части диэлектрической постоянной (дисперсионные соотношения). В последние годы дисперсионные соотношения стали широко использоваться при изучении взаимодействия элементарных частиц.

Следует отметить еще одну особенность интеграла Фурье: в комплексной форме ему можно придать вид, когда между самим интегралом Фурье (зависящим от времени) и его коэффициентом Фурье (зависящим от частоты) устанавливается полная симметрия:
Это означает, что существует полная симметрия между временем и частотой. Данный факт играет большую роль в современной теории информации.
Я подробно остановился на книге Анго в связи с тем, что это единственная современная (известная мне) работа, где принципиально обсуждается вопрос о реальности мнимой компоненты в классических физических экспериментах. В математических книгах, посвященных функциям комплексного переменного, классические физические задачи рассматриваются только как примеры эффективного использования данного математического аппарата без обсуждения реальности мнимой составляющей теоретических расчетов.
Квантовая механика. Данная наука «родилась» из классической механики путем внедрения ряда постулатов [3]:
1) введение волной функции Ψ =a exp(𝑖𝑆⁄ℏ), где a – const , S – действие, ħ – постоянная Планка. То есть, уже в первом постулате появилась мнимая единица i. Волновая функция Ψ полностью определяет состояние физической системы;
2) введение волнового уравнения Шредингера iħ(𝜕𝛹⁄𝜕𝑡)=ĤΨ, где Ĥ – оператор Гамильтона. Это основное уравнение квантовой механики, которое определяет волновую функцию физической системы. Здесь опять мы видим мнимую единицу i.

Если подставить волновую функцию Ψ в уравнение Шредингера с гамильтонианом Ĥ= −(ℏ2⁄2𝑚) 𝛥 + 𝑈(𝑥, 𝑦, 𝑧), то получим это уравнение:
В этом уравнении имеются чисто вещественные и чисто мнимые части. Приравнивая вещественные и мнимые части (пренебрегая слагаемым, содержащим ℏ2) по отдельности нулю (?), получают два уравнения:

Уравнение (1) интерпретируют, как предельный переход к классическому уравнению Гамильтона-Якоби для действия S. Уравнение (2), игнорируя мнимую единицу, интерпретируют, как уравнение неразрывности. Действительно, выражение в квадратных скобках можно преобразовать к уравнению неразрывности, но голословно отбрасывать i, стоящую перед квадратной скобкой в уравнении (2) – это традиционное пренебрежение физиками мнимой составляющей.
Теория относительности. Основным понятием данной теории, в инерциальной системе отсчета, является интервал:
d𝑠2 = 𝑐2d𝑡2 - d𝑥2 - d𝑦2 - d𝑧2
Благодаря введению Минковским мнимого времени τ=ict, интервал приобрел более симметричный вид:
-d𝑠2=(d𝑥2+d𝑦2+d𝑧2+𝑑𝜏2)
и появилось фундаментальное представление о едином пространстве-времени. Таким образом, в теорию относительности внедрилась мнимая единица i.
Если мы переходим в неинерциальную систему отсчета (теорию гравитации – ОТО), то d𝑠2 уже не будет суммой квадратов дифференциалов четырех координат и интервал примет вид:
-d𝑠2=𝑔𝑖𝑘 d𝑥𝑖 d𝑥𝑘
где 𝑔𝑖𝑘-метрический тензор пространства-времени, 𝑥1,𝑥2,𝑥3 - пространственные координаты 𝑥0- временная координата. Так как уже нет смысла сохранять мнимое время, то переходят к реальному времени t.

Но детерминант метрического тензора оказывается отрицательным и будет теперь во всех формулах ОТО входить в таком виде
Таким образом, теория относительности (как и квантовая механика) несет в себе мнимую компоненту. И это, по моему мнению, не формальный математический прием, а не понятый до сих пор, скрытый смысл сосуществования мнимого и действительного в нашем Мире.
Фракталы и реальность
В отличие от физики, в математике революции проходят спокойно и даже незаметно. Появление комплексных чисел большинством ученых (и физиков, и математиков) было воспринято, как естественный процесс расширения множества вещественных чисел (ассоциируемое с линией без ширины), до двумерного множества в плоскости комплексных чисел. Кроме «кучки диссидентов» типа Анго, никто не обратил внимание на скрытый физический смысл мнимой единицы.
То же самое можно сказать и о революционных изменениях в базовых понятиях математики второй половины ХIХ века. Все началось с открытия Вейерштрассом непрерывной, но нигде недифференцируемой функции:

В сущности, эта функция уже была прообразом фрактала, но никто еще об этом не догадывался. Математическая мысль пошла в сторону введения новых понятий - дробной размерности и, соответственно, - дробной производной. «Фрактальная» функция Вейерштрасса, из-за ее «изрезанности» («шероховатости»), воспринималась как линия с шириной. В начале ХХ века Жулиа и Фату (1918 г.) открыли нелинейное итерационное отображение с комплексными аргументами:

Это уже был настоящий фрактал, но «разглядеть» его не представлялось возможным, в виду отсутствия технических средств. Такая возможность появилась с созданием компьютерных технологий.
Считается, что фракталы открыл Мандельброт в 1980 г.. Он впервые наблюдал на экране дисплея множество Жулиа. Эффект превзошел все ожидания – перед учеными наглядно открылся виртуальный мир комплексных чисел. Фрактальные картины с экрана дисплея быстро перекочевали в музейные залы искусствоведов – началась эпоха фрактальной геометрии.

Множество Мандельброта в координатах — реальная и мнимая части константы
Данное открытие было обусловлено тремя составляющими:
1. Использование нелинейного итерационного отображения 𝑧𝑛+1→𝑧𝑛 2+c (функция Жулиа);
2. Использование в качестве аргументов данной функции комплексных чисел z=x+iy, c=a+ib;
3. Использование современных компьютерных технологий, позволяющих задействовать достаточно длительный итерационный процесс и вывести его результат на экран дисплея.
В результате появились визуальные фрактальные картины с необычной графикой, где-то повторяющие аналогичные картины из окружающей нас Природы (живой и неживой). Итерационный процесс 𝑧0→𝑧1→𝑧2→… за достаточно большой период времени и составляет предмет исследования фрактала.
Главные особенности фрактала:
1. Если в отображении 𝑧𝑛+1→𝑧𝑛2+c зафиксировать параметр с и изменять z (от начальной точки 𝑧0) в поле комплексных чисел, то мы получим множество Жулиа;
а если зафиксировать точку 𝑧0=0 и менять параметр с, то получим множество Мандельброта;
2. Одни фракталы статичны (очертания гор, извилистая линия морского берега и др.), другие непрерывно меняются (движущиеся облака, мерцающее пламя и др.), третьи – живые, они сохраняют структуру в процессе эволюции (деревья, сосудистые системы животных, человека и т.д.);
3. Фрактальные объекты самоподобны – каждая точка объекта повторяет сам объект в меньшем масштабе до бесконечности
Компьютер, как главный «поставщик» фрактала, позволяет увидеть связи и значения, которые до сих пор были скрыты от нас. Главным образом это относится к компьютерной графике, переживающей сегодня период интенсивного развития и обогатившей наши возможности в такой степени, которая редко достигалась другими средствами науки. Многие ученые, и люди искусства, и обеспокоенные родители, воспринимают компьютер как дьявольский инструмент – все становятся его рабами. Можно было бы отдать красивые компьютерные «игрушки» для развлечения юных (и великовозрастных) дитятей. Но как быть с Природой? Кто (или что) породил аналогичные «игрушки» в нашем реальном мире? Списать это на случайность – просто нелепо, Признать существование некой Всевышней Силы – в принципе, можно (на всякий случай). Но мы прекрасно осознаем, что картины, и в дисплее, и в Природе – это порождение «игры» комплексных чисел. Можно интерпретировать алгоритмы и программы построения фракталов, как шифровальный код будущей развернутой информации: короткий алгоритм (4) и 4 строчки компьютерной программы – это сотни страниц текста с описанием представленной картины. В отличие от физики, здесь уже невозможно выбросить мнимую часть алгоритма – картина зависит от всего комплексного выражения. Как виртуальные (в компьютере), так и реальные фрактальные картины нашей Природы, получились благодаря некоему комплексному «Началу», пока не зафиксированному нашими несовершенными ощущениями и инструментами.
Модель мнимого вакуума
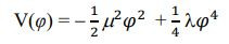
Современные теории элементарных частиц и космологии, используют скалярное поле, в качестве одного из основных своих понятий. За последнее время наибольшие успехи в данной области были достигнуты благодаря представлению плотности потенциальной энергии однокомпонентного, однородного скалярного поля φ в виде потенциала Хиггса:

где: μ - мнимая масса скалярного поля; λ - константа взаимодействия поля с самим собой (константа самодействия), (ħ = c = 1).
Появление данного потенциала объясняется перестройкой исходного вакуумного состояния (спонтанное нарушение симметрии) с «приобретением» массы элементарными частицами. Дальнейшее развитие теории вакуума потребовало введения двухкомпонентного скалярного поля φ. В этой связи стали использовать его представление в комплексном виде:
φ = 𝜑1 + i 𝜑2
Я предлагаю возможный вариант скалярного поля в виде суммы действительной и мнимой части фрактальной функции Вейерштрасса (3) с комплексным аргументом. Ниже рассмотрена простейшая модель появления мнимого поля в процессе фазовой перестройки космического вакуума в момент зарождении материи.
Ограничимся первым слагаемым ряда Вейерштрасса (3) и рассмотрим следующий вид потенциальной энергии двухкомпонентного скалярного поля φ (до момента фазовой перестройки вакуума и появления материи):

где: ρ(φ)–плотность энергии скалярного поля; z=(u-iv)φ* - здесь выбрана сопряженная форма комплексного аргумента.
Перейдем к безразмерным величинам: v/u=α и φ*∙u=φ. Разложим cos z в ряд Маклорена (до трех первых слагаемых) и выделим действительную и мнимую части:

Не трудно увидеть, что оба потенциала 𝑉1 (φ) и 𝑉2(φ) сохранили традиционную, хиггсовскую форму (5), а их «внутреннее» содержание позволяет обнаружить некоторые особенности нового представления эффективного потенциала скалярного поля.
Предложенная модель позволяет получить традиционную форму действительного скалярного поля (то есть «не портит» существующей теории вакуума), предсказывает появление нового, мнимого поля, антиподного физическому и, следовательно, избавляет от необходимости привлечения в космологию гипотетических параллельных и зеркальных миров. Очевидно, что реальность мнимого поля может быть зафиксирована только в нефизическом эксперименте.
Параметр α = v / u играет в модели ключевую роль: равенство нулю космологической постоянной и численные значения величин 𝜇1 , 𝜇2 , 𝜆1 и 𝜆2 определяются «тонким взаимоотношением» между действительной (u) и мнимой (v) частями комплексного аргумента. Причем в каждом конкретном случае, это «взаимоотношение» будет разным и даже, возможно, непредсказуемым (в этом и заключается некое «сознание» мнимого вакуума).
Таким образом, «чисто математический» подход не исключает возможности существования мнимого поля, обладающего эволюционной (генетической) памятью, как порождение фрактальной функции Вейерштрасса.
Заключение
Завороженные красотой фрактальной геометрии, ученые по-прежнему упускают редкую возможность выйти за пределы тесных рамок материальных парадигм. Факты, собранные в данной работе (далеко не все), убедительно показывают, что наш Мир изначально двойственен. Эта двойственность постоянно проявляется в многочисленных природных явлениях. В физике: частица-волна, частицы-античастицы, и т.д. В биологии: двойная спираль ДНК, деление клеток надвое, двуполость организмов и т.д. Наконец, в математике: бинарность операций, бинарность комплексных чисел, бифуркации и т.д. Самый яркий пример двойственности (и в физике, и в биологии) - фракталы. Этот пример должен окончательно убедить ученых в реальности мнимого мира.
Drammm - 9 февраля 2022















































































































Комментарии
Это элемент того, что довело современную физику до такого позорного состояния.
А именно - уверенность, что математические абстракции имеют некий "смысл" и на основе любой самой хитроделанной формулы можно строить физические модели реального мира.
А комплексное число именно что отмычка, для взлома кубических уравнений.
Прежде, чем объединяться, и для того, чтобы объединиться, мы должны сначала решительно и определенно размежеваться. ))
Только математика и имеет смысл. Истиная сущность любого явления - уравнение, описывающее его, а вот попытка понять "что это на самом деле" - это как раз натягивание совы реальности на глобус нашего ограниченного опыта.
Математическая/физическая модель - всего лишь попытка приближенно описать явление. Если часть явления не будет вписываться в эту модель - модельпридется уточнять или вообще переписывать. Мы слишком увязли в формулах, считая, что они окончательно точно описывают явления, и перестали рассматривать сами явления. Это тупиковый путь. Когда обнаруживаются отклонения от модели - вместо совершенствования модели, описывающей явление, эти отклонения отбрасываются. А это нехорошо.
В этом и состоит научный прогресс.
Ну, для ряда явлений осмысленного объяснения так и не появилось. Например, что такое энергия известно только с точки зрения математики, а чем она является "по сути" - хрен знает.
Для кучи других явлений интуитивное объяснение сильно хромает, как те же попытки объяснить свет как волну или частицу.
В рекламных брошюрках может и состоит.
На практике бредовые модели остаются в силе десятилетиями, хотя им накоплено тысяча и один противоречащий факт.
Остаются в силе, потому что другие объяснения еще хуже.
Да нет там никакого позорного состояния. Ботаники а то и вовсе поэты туда прибились, это да. Без всякого воображения-))
Нарисуем три координатные оси: X, Y, Z. И нарисуем вектор из центра координат. Под некоторым углом к вертикальной оси. И заставим его вращаться вокруг вертикальной оси. Конец вектора опишет окружность. А теперь позволим вектору вращаться под любыми углами. Конец вектора опишет сферу.
Так вот, нашей реальности на этой сфере будут соответствовать только две точки. Две точки пересечения вертикальной оси со сферой. Верхняя точка будет соответствовать состоянию кубита 0, а нижняя - состоянию 1. Все остальные точки сферы принадлежат невидимому квантовому миру. Теперь вы можете наглядно представить себе, насколько пространство квантовых состояний больше пространства классических состояний. Практически в бесконечное число раз.
Соответственно и количество информации, которую можно записать в кубит, теоретически бесконечно большое. Но это ещё не всё. Вектор можно заставить вращаться не только вокруг вертикальной оси, но и вокруг двух других осей. И более того, можно провести любую другую ось, под любым углом, и заставить вращаться вокруг неё вектор.
И это ещё не всё. Число взаимно перпендикулярных осей будет равно трём только в трёхмерном пространстве. Но пространство состояний может иметь сколько угодно измерений. Таким образом, число ортогональных осей может быть бесконечно большим.)
Представьте себе трехмерное пространство в виде тонкого листа.. пусть будет обыкновенной бумаги. Нарисуйте на нем стрелку в продольном направлении и расположите лист вертикально так, чтобы две его противоположные поверхности смотрели в разные стороны в горизонтальной оси, а стрелка показывала от вас в сторону ближайшего пивного бара... Теперь нарисуйте на той стрелке несколько перпендикулярных штрихов, которые будут символизировать собой препятствия трехмерного мира, который, как вы помните, у нас это листок.. "Двигаясь" по этому трехмерному пространству, вы неизбежно будете на них натыкаться и возможно даже никогда не доберётесь до вожделенного бара. И это целая проблема, которую буквально пять мгновений назад мы сами нарисовали..
А теперь представьте, что мы не живём в трехмерном пространстве, а живём в многомерном.. и таким листочков у нас не один, а допустим три, по одному с каждой стороны от нашего первого который со стрелочкой, а наши сверхспособности позволяют нам переходить с одного листочка на другой без каких либо затруднений, что делает наше путешествие в бар по стрелочке более быстрым и эффективным по сравнению с тем, которое прописано у нас в нашем плоском трехмерном бумажном мире. И всё из-за того, что мы можем миновать препятствия нарисованные нами до этого, потому как с одинаковым успехом можем двигаться как по правому листочку, так и по левому вместо того центрального с нарисованными на нем затруднениями.. пусть будет в виде формальной логики.
Так вот эти прыжки между листочками хорошо собой символизируют квантовое распределение вероятностей бытия и небытия..
Рискну высказаться о квантовых технологиях с позиции полного их непонимания. Имею ввиду квантовые линии передачи информации, которые уже существуют. Мне кажется, что тут в названии слово "квантовые" лучше бы пока не употреблять, а говорить о "световой" технологии.
Какой ещё квантовый мир?!
Не вообще нарисуем, а нарисуем на листке бумаги. Или так, - отобразим трёхмерное на двухмерное.. Две координаты реальные, одна мнимая, она же проекция. Для проекции требуется явный указатель, который и называется мнимым числом i
Со свойством любая чётная степень равна -1, нечётная 1. Плюс значение как мнимая часть комплексного числа.
Если -1, объект можно назвать находящемся ниже листа бумаги, если 1 - выше. Или наоборот, это условность, или от фазы зависит если объект периодический.
У чела с художественными способностями такая картинко в голове возникает сразу. Изометрия, перспектива со светотенью.. Если этого нет, после решения первого дифура порядка выше второго.
---
В СССР в 79 была изменена программа изучения математики.
Суть изменений, - сначала начали давать базу пространств и преобразований. До того как мелкому объяснили функцию и функциональный анализ со всеми этими производными и порядками дифура.
До этого школьная методика была обратной, от простого к сложному.
В результате - Вы приплели физику к математике. Стыдитесь-))
Для математики весь этот ваш квантовый мир всего-навсего модальное пространство Гильберта. Тьфу, говорить не о чем-)
В 69 математику в школе изменили. Опечатка
Нет, не так. Когда я говорю нарисуем сферу, это значит представим сферу. Да, представим перед собой в пространстве на расстоянии вытянутой руки самую обычную 2-мерную сферу. Никакие проекции здесь не требуются.
Необходимость в проекциях возникает только тогда, когда появляются дополнительные измерения. Как правило, чаще всего появляется четвёртое измерение. Что же касается мнимых чисел, то они (вместе с вещественными, естественно) образуют комплексную плоскость. Ну или просто плоскость. Двухмерную плоскость. Двухмерную поверхность.
Знаете, почему комплексные числа получили такое большое распространение, а числа с числом измерений больше двух так и остались экзотическими диковинками?
А что у нас изображено на сфере Блоха? А вот на ней как раз изображена проекция нашего 3-мерного пространства. Только не 2-мерная проекция, а 1-мерная! Всё наше 3-мерное пространство спроецировано там на вертикальную ось. Таким образом, на рисунке появляются ещё два дополнительных измерения - четвёртое и пятое. И если вертикальная ось обозначается буквой Z, то горизонтальная ось это будет ось Y, а ось, идущая прямо на нас - осью X.
И вот эту плоскость XY мы рассматриваем как комплексную плоскость. Где на оси X живут вещественные числа, а на оси Y - мнимые. Естественно, что все точки этой комплексной плоскости равноправны и не делятся на настоящие и мнимые. Ну и да, все они являются проекциями точек сферы Блоха. Как тебе такое, Илон Маск?)
Это что же получаетца?! Для каждой плоскости противоположная - это мнимое пространство, просто ИНФОРМАЦИИ кусок? ))
Это условность. Мнимые числа это условность. В реальности есть 2-мерная поверхность. Каждой точке которой можно поставить в соответствие одно число. Комплексное число. Координаты которого определяются по осям X и Y. )
На базе этой глубокой мысли нужно и выстраивать новую математику. Упрощать её для потомков.
Есть ещё один вариант представления... Ну при наличии образного мышления.
Гибридный автомобиль последовательного типа.
Машина имеет два типа моторов: электрический двигатель (обычно два или четыре) и ДВС. Напрямую они не связаны между собой, но связаны опосредованно через аккумулятор большой ёмкости, который сам по себе никакой работы не совершает, а лишь превращает одну работу в другую.. вот мнимая часть в гибридном автомобиле - это аккумулятор. )))
Для того, чтобы я начал понимать то многое, о чем написано в статье, надо объяснить мне самое простое, почему в электрической цепи явно физические, вещественные конденсатор и катушка считаются невещественными, а сопротивление - вещественным.
Надо разложить по полочкам без математики.
Реактивными они называются от того что на индуктивности, на конденсаторе возникает сдвиг фазы напряжения и тока.
Ток отстаёт от напряжения - индуктивность. Напряжение отстаёт - емкость.
Если ток постоянный, речь идёт о моментах включения и выключения цепи.
Пример - бывает искра при отсоединении клеммы например аккумулятора. Где-то в цепи постоянного тока есть индуктивность. Мгновенно ток через индуктивность измениться не может, поэтому цепь уже разорвана, а ток продолжает течь. Уже через воздушный зазор.
Если в цепи ёмкость, всё будет похоже но уже при замыкании цепи.
Спасибо за пояснение. В молодости паял радио детекторные, прямого усиления и супергетеродинные. Но в тонкости не вникал. Помню, варил свинец с серой в пробирке, чтобы получить кристалл для детектора. Дым серный на всю квартиру. Сейчас, возможно, многие уже не знают зачем кристалл нужен.
Ну нельзя же так!!!!!
Пожалейте сову. И глобус тоже пожалейте...
================
Вспоминается знаменитое "таблицы и картинки - пропускаем, в пролетарскую суть - вникаем."
Мнимую часть отбрасываем как нереальную.
Перспективный чат детектед! Сим повелеваю - внести запись в реестр самых обсуждаемых за последние 4 часа.
Как страшно жить!(с)
То ли дело по Чапаеву: Сколько будет
0.5+0.5=?
нутром чую , что литр, но сказать не могу...
))))
комплекс числа учил еще в школе в 10 и 11 классах
Я как-то увидел наипримитивнейшее изображение фрактала, состоящее из вертикальной линии, делящейся вправо на всё более короткие. По мне, так это и есть дурная бесконечность, адов ужас нескончаемой бессмыслицы. Никогда не понимал доказательств существования Бога, опирающихся на некую математичность мира. Это скорее хохот дьявола. Бог же вдыхает жизнь, несводимую ни к каким алгоритмам. Утверждать, что "сущность" явления заключается в формуле, которой она описывается, значит не то, что не плясать от печки, а даже не подозревать про обычную кочергу. Явление ЕСТЬ - вот что первично и реально удивительно. Бутерброд можно нарезать на сколь угодно сложные части, но чтобы поесть, этот бутерброд должен сначала откуда-то взяться. А откуда он берется?
20:15 вечера? Понимаю... йик.)
Лично мне, поставил на место мозги, просмотр короткого фильма ( 2 серии по 20 мин.) " Тайная жизнь хаоса". Фрактальность, только небольшая часть, более общего закона природы
И что, всё поняли? Если что не понятно, спрашивайте.)