Разве уравнение Х2 + Y2 = 7 имеет решение в рациональных числах
Ну вообще то это множество точек, лежащих на окружности радиусом квадратный корень из 7.
Тогда система уравнений имеет два решения. Один вариант положительный X=cos(альфа) больше по модулю отрицательного Y=sin(альфа), второй вариант положительный Y=sin(альфа) больше по модулю отрицательного X=cos(альфа). Остается найти этот угол альфа из сложного выражения.
Странный у автора критерий тупости. Знание формул не равно умению находить решения и понимать законы мира за исключением математики. Скорее выбор такого критерия настораживает как желание тонко проманипулировать.
Система из двух уравнений при двух неизвестных строгого решения не имеет.
Это тот случай, когда в Википедию стоит заглянуть:
"В общем случае система с меньшим количеством уравнений, чем неизвестных, имеет бесконечно много решений, но может и неиметь никакого решения. Такая система известна как недетерминированная система.
вы не знаете что такое уравнение ? само слово произошло от слова "равно", т.е. при составлении уравнения вы обязаны составить его так, чтоб левая часть была реально равна правой. А уравнение типа " x*x = -10 " не является уравнением с действительными корнями.
И если система уравнений составлена по всем правилам, то при двух неизвестных и двух уравнениях - решение гарантированно есть, в чём легко убедиться графически
Комментарии
Шутить изволите
Разве уравнение Х2 + Y2 = 7 имеет решение в рациональных числах
в постановке задачи не так
ТС предлагает нам в праздничные дни сидеть заниматься подбором дробей.
а всех, кому будет лень страдать такой хернёй, он объявил "тупыми".
Дроби это рациональные числа. И если решение есть в дробях это интересно
решения в дробях нет... можете начинать подбирать действительные))
X = (1 + sqrt(13))/2, Y = (1 - sqrt(13))/2 или X = (1 - sqrt(13))/2, Y = (1 + sqrt(13))/2
А почему ее не дадут на ЕГЭ? Трудно придумать аналогичные?
ну если не дают более легкие на комплексные числа, то эта хоть и не сложная, но явно сложнее чем вот эта задача например
https://aftershock.news/?q=node/1327124
В ЕГЭ по-моему комплексных чисел нет.
Там у меня видео не показывается. Это вот это "решение" имеется в виду?
1=e^i2пk, где k - целое
п=e^(ln п +i2пm), m - целое
ix2пk=ln п + i2пm
x=(ln п + i2пm)/i2пk, k не равно 0 ?
На это я могу долго ругаться.
ну наверное можете долго ругаться... я то тут при чем?))
да вроде легко кубы равны 7, квадраты 5 например
ну и бесконечно много вариантов
Нет. Можете подбирать иррациональные числа.
Тот кто считает, что не решивший данную задачу тупой, сам как минимум идиот.
ну понятное дело.... рассуждать о геополитике значительно проще))
а вы только и научились копипастить одну фразу
Что молчим? правильный ответ?
x1=1/2-корень13/2 х2=1/2+корень13/2
у1=1/2+корень13/2 у2=1/2-корень13/2
везде корень из 13 в числителе. По другому как формулу тут написать не знаю.
Тот кто считает, что не решивший данную задачу тупой, сам как минимум идиот.
Ну вообще то это множество точек, лежащих на окружности радиусом квадратный корень из 7.
Тогда система уравнений имеет два решения. Один вариант положительный X=cos(альфа) больше по модулю отрицательного Y=sin(альфа), второй вариант положительный Y=sin(альфа) больше по модулю отрицательного X=cos(альфа). Остается найти этот угол альфа из сложного выражения.
Странный у автора критерий тупости. Знание формул не равно умению находить решения и понимать законы мира за исключением математики. Скорее выбор такого критерия настораживает как желание тонко проманипулировать.
ну так вы этот тест не прошли
так как никаких формул знать не надо для решения!!
И слава богу, что не прошел. Не хочу записываться в секту угадывающих бессмысленные задачки.
И, кстати, я вам в личку ничего не посылал, так что ваш выпендреж прямо на форуме подтверждает гипотезу о манипуляции.
вы еще тупее
дополнительных формул которых нет в постановке задачи
(то есть что такое система и возведение в степень)
Да успокойтесь, конечно, я тупее. А Наполеоны у нас в 6 палате, рядом с Цезарями.
ну так бы сразу и сказали что вы оттуда...
Х=3, y=1.
Или вам решение?
3 в квадрате уже 9, а в кубе - 27. Что-то не сходится.
Одно из чисел чуть больше 2, другое - чуть больше 1. ))
33 + 13 = 28
Вы все еще празднуете
x в квадрате сразу больше 7
А чего его решать то.
В какую-нибудь вольфрам-альфа забил, она тебе и решит. Со всеми ±√13
у вас кое то странное представление о "сами"
А то что при "самостоятельном" решении будут использоваться наработки каких-нибудь древних греков, вас не смущает?
вы настолько тупой что даже не стоит вам пытаться обяснять
у автора после праздников нестерпимо чешется чсв?
x+y = a
xy = b
вот и все
аффтар! зачем решение затер?
затем
мы что - все строем ходим из-за каждой дебильной задачки, чтобы не мешать ТС дрочить на собственное эго?
не ходите
более того вы даже не сможете ходить вообще
Да вроде да, очевидно.
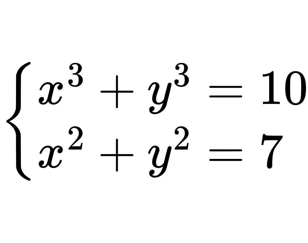
Задача на 5 минут - разложить сумму кубов, во втором выделить квадрат , переобозначить через а и б и всё.
Система из двух уравнений при двух неизвестных?
Решения либо нет, либо их много.
В путь.
Ачотакова? 2 уравнения, 2 неизвестных - вроде все нормально. Если бы 3 неизвестных...
так вы напишите
даже когда много, решение выражается через свободный параметр
но даже глядя на квадраты сразу становится понятно что здесь свободного параметра быть не может
Пишу.
Система из двух уравнений при двух неизвестных строгого решения не имеет.
Это тот случай, когда в Википедию стоит заглянуть:
"В общем случае система с меньшим количеством уравнений, чем неизвестных, имеет бесконечно много решений, но может и не иметь никакого решения. Такая система известна как недетерминированная система.
"
не очень понятно что вы имеете в виду под строгим
но вот вам
х+у=2
х-у=0
не имеет решения?))))
В общем случае не имеет!
В частном может иметь. А дурь можно любую написать:
х+у=2
х-у=1.5
Решайте...
напишите явно
1. сколько здесь переменных
2. сколько уравнений
))
ВЫ неправы. И либо не учились, либо забыли советскую школу.
Система из двух уравнений с двумя неизвестными в общем случае не решаются.
Я Вам привёл пример:
х+у=2
х-у=1.5
Решайте...
Замечательно. А теперь возведём во втором уравнении игрек в квадрат!
х-у(в квадрате)=1.5
Решайте.
Чт-то движок форума как-то тупит и сообщения путеает. Но не суть.
вы не знаете что такое уравнение ? само слово произошло от слова "равно", т.е. при составлении уравнения вы обязаны составить его так, чтоб левая часть была реально равна правой. А уравнение типа " x*x = -10 " не является уравнением с действительными корнями.
И если система уравнений составлена по всем правилам, то при двух неизвестных и двух уравнениях - решение гарантированно есть, в чём легко убедиться графически
например вот график к задаче этой темы:
сейчас вам порвет мозг)))
х=1,5+у
1,5+у+у=2
у=0,25
х=1,75
При условии что X=Y=1
не понятно что значит при условии?
Страницы