“По оценкам мирового сообщества, на территории России экономически целесообразно проживание 15 миллионов человек”. Так звучит фраза, якобы высказанная премьер-министром Великобритании Маргарет Тэтчер в 1985 году.
Во всяком случае, так писал в своей книге "Почему Россия не Америка" полковник Федеральной пограничной службы Андрей Петрович Паршев.
В контексте экономического развития России оценка численности населения имеет под собой весомые аргументы.
Карта полезных ископаемых России, 2017 год.
Исторически нам досталась огромная территория с такими же огромными запасами полезных ископаемых, которые по своему разнообразию является самыми обширными в мире. Однако это никак не мешает нашей экономике испытывать дефицит той же меди, титана, лития. А дефицит соединений бериллия и оксидов редкоземельных металлов на все 100% удовлетворяется за счёт их импорта.
Как же так получается?
На территории России совокупная стоимость всех разведанных на сегодня полезных ископаемых составляет примерно 14,2% от стоимости всех на сегодня известных мировых запасов ископаемого сырья и прочих минеральных ресурсов. И это с учётом того, что Россия занимает 12,69% суши, на территории которой находятся все разведанные на сегодня полезные ископаемые.
Антарктида не в счёт, так как она никому не принадлежит, а добыча и разведка полезных ископаемых там запрещена.
Соотношение площади стран мира по отношению к площади нашей планеты.
При этом стоимость полезных ископаемых, извлечение которых экономически целесообразно, составляет 778 миллиардов долларов, то есть экономический потенциал разработки недр России составляет всего лишь 18,46% от своего номинала.
В результате степень промышленного освоения разведанных запасов крайне низкая: для бокситов — 32,6%; для нефелиновых руд — 55,4%; для меди — 49%; для цинка — 16,6%; для олова — 42,1%; для молибдена — 31,5%; для свинца — 8,8%; для титана — 1,3%; ртути — 5,9%.
А то, что добывается, ещё нуждается в транспортировке до места потребления.
В мире, конечно, больше нет стран со столь большим разнообразием полезных ископаемых, но достаточно стран, где промышленное освоение нефти, лития, титана, меди и цинка и других по отдельности полезных ископаемых куда более продуктивно, поэтому их сырьевой экспорт экономически более целесообразен, чем в России.
Возьмём, например, Норвегию, являющуюся своеобразным нефтяным источником Европы. Площадь Норвегии - 1,89% от площади России. Так вот, доказанные запасы нефти в России – внушительные 14700 миллионов тонн, а в Норвегии – 1100 миллионов тонн, что в 13,3 раза меньше, чем в России. Но если смотреть на эти показатели в пересчёте на площадь территории страны, то получим обратный результат. Запасы нефти в Норвегии - 2856 тонн на 1 кв.км, а в России - 858 тонн на 1 кв.км, что в 3,3 раза меньше, чем в Норвегии.
Нефтегазовая разработка месторождений Норвегии очень компактна.
Население Норвегии – 5 488 984 человек. Следовательно, на душу населения приходится 200,4 тонны разведанных запасов нефти. В России, где, как говорят, «нефти больше, чем воды», этот показатель "почему-то" в два раза меньше – 100 тонн на человека.
Посмотрите на главных поставщиков нефти в мире:
Главные страны-экспортеры нефти на мировые рынки.
Россия занимает второе место по поставкам сырой нефти на мировые рынки. Прекрасно! Но оценим другие страны.
Получается, что у главных стран-экспортеров средний показатель по разведанным запасам нефти на душу населения составляет 604 тонны.
Такие страны как Кувейт, ОАЭ, Саудовская Аравия и Канада обладают потенциальными запасами нефти выше среднемирового уровня среди других нефтедобывающих стран.
- Россия тут со своими 100 тоннами запасов нефти на душу населения – только на восьмом месте, отставая в 6 раз от среднестатистического показателя, а по запасам нефти на 1 кв.км – на 9 месте.
Далее оценим саму добычу и её действующие мощности на примере экспорта сырой нефти.
Действующие экспортные мощности.
Тут картина такая: среднемировое значение эксперта нефти на душу населения составляет 5,9 тонны на человека.
Норвегия со своими 15 тоннами на человека опережает даже ОАЭ.
- Но посмотрите на Россию: мы отстаём в разы от средних показателей главных сырьевых экономик мира.
Более того, наши разведанные запасы нефти и мощности экспортных поставок на душу населения по всем параметрам уступают Канаде, Норвегии и даже Казахстану, но при этом мы выстраиваем российский бюджет, исходя из экспортных цен на нефть, а свою экономику - исходя из налоговых ставок на добычу полезных ископаемых.
Если взять в расчёт количество населения нашей страны, получается какой-то абсурд. Мы никогда в жизни не догоним действительно сырьевые экономики по уровню дохода на душу населения и, соответственно, уровню жизни. Этот путь - просто в никуда, а точнее в нищету, ибо нефтегазовая добыча в России по себестоимости тоже уступает многим странам ОПЕК+, и даже Норвегии, из-за больших транспортных и прочих сопутствующих расходов.
А что в Саудовской Аравии? Там всё в относительной транспортной доступности - так же, как и в Норвегии.
Какие из всего этого можно сделать выводы?
А выводы довольно печальны для России. Если мы хотим оставаться сырьевой экономикой, то, чтобы достичь показателей Норвегии, нам нужно избавиться от 93,9% своей территории, уменьшив при этом численность населения более чем в 9,6 раза. Только тогда мы сравняемся с Норвегией по экспортному потенциалу как на душу населения, так и на площадь территории.
- Исходя из таких расчётов, площадь России должна составлять 1040412 км2, а население – 15142942 человека. Такие цифры вас, как жителей этой страны, устраивают?! Думаю многие западные страны включая США просто будут в неописуемом восторге от подобных событий...
Ниже приведена таблица с проецированием действующих экспортных мощностей главных сырьевых экономик на параметры России.
И как вам такая перспектива?
Хотим сравняться по экспорту нефти с Кувейтом? Хорошо, тогда площадь России уменьшаем до 42 029 кв.км, чтобы все наши месторождения были плотно расположены, и сокращаем население до 10 129 075 человек, чтобы достичь нужного показатель экспорта нефти на душу населения.
- Как видим, по части экспорта нефти мы даже чисто математически не можем и не должны конкурировать с другими сырьевыми экономиками.
Безусловно, на экспорте нефти и прочих полезных ископаемых Россия зарабатывает. Но сколько? В смысле, какова экономическая эффективность экспорта той же нефти Россией?
В 2021 году, ещё до санкций и сопутствующего дисконта на наши энергоресурсы поставляемые в дружественные страны, заработок России будет следующим: экспортировав 1 миллион тонн нефти по цене в 80 долларов за баррель, наша страна получит 547 485 280 долларов.
Расчетный экспортный доход.
- Выходит, что, экспортируя одно и то же количество нефти, Норвегия зарабатывает на душу населения в 24 раза больше, чем Россия?
Данные по средней себестоимости добычи нефти, взятые из доклада, сделанного для своего первичного публичного размещения акций Национальной нефтяной компания Саудовской Аравии "Saudi Aramco".
Данные Росстата о себестоимости добычи нефти в России.
А теперь подсчитаем в абсолюте, согласно данным по экспорту сырой нефти за 2021 год.
Картина, как говорится, маслом...
Собственно, отсюда видно, почему бюджет России выстраивается, исходя из цены на нефть: 66 тысяч рублей в год на душу населения - величина всё-таки солидная.
- Но та же Канада, экспортируя на 28% меньше нефти, при большей на 44% себестоимости её добычи, зарабатывает в пересчёте на душу населения на 24% больше, чем Россия.
Про остальные страны и говорить не приходится. Среднее значение заработка с продажи нефти на душу населения среди главных поставщиков составляет 4 459,62 доллара.
Тогда возникает закономерный вопрос: а что вообще Россия делает среди стран-экспортёров нефти, и почему наш бюджет завязан на нефтяные цены? Думаю, ответ нужно искать в приватизационной политике 1990-х годов.
Население нашей страны по определению не могло обогатиться за счёт нефтяного экспорта России. Мы слишком мало экспортируем нефти на душу населения по сравнению с другими странами, которые выстраивают свою экономику с учётом нефтяной ценовой политики. И запасов нефти в России на душу населения тоже слишком мало, чтобы можно было выстраивать подобную среднесрочную и долгосрочную политику государства.
В России обогащается только узкий круг лиц и компаний, но никак не население страны, и рост благосостояния населения искусственно поддерживается правительством за счёт масштабной программы субсидий и выплат.
Более подробно об этом с личными примерами я писал тут:
Пример с экспортом нефти – наиболее показателен, но такая ситуация по всем полезным ископаемым в России, в том числе и по газу, и по углю, и даже по переработанной нефти.
В России выгодно экспортировать только лес, пресную воду, зерно и платину - на этом всё.
Но даже тут мы не являемся лидерами, потому что эффективная площадь для посевов, экономической жизнедеятельности и проживания в России составляет 5,5 млн км2, что в пересчёте на душу населения - лидерами нас не делает. Об этом поговорим в другой статье.
Эффективная территория разных стран, согласно данным мирового земельного фонда.
Что тут можно сказать?
Экономика России хоть и может развиваться на экспорте полезных ископаемых, но делает это в разы медленнее и менее эффективно, чем экономики других сырьевых стран.
Конкурировать с ними в экспорте энергоресурсов, исходя из получаемого дохода на душу населения, в среднесрочной перспективе мы по объективным причинам неспособны, а выстраивание собственной экономической политики с оглядкой на нефтяные цены – это главный фактор сдерживания развития экономики России.
Да, ни США, ни ЕС, ни даже санкции с их стороны - не являются главной причиной столь слабого экономического развития России. Истинной причиной является именно построенная сырьевая экономическая модель, которая по определению неприменима к России.
У нас попросту нет соответствующего количества ресурсов, чтобы быть в паритете с той же Норвегией по показателям на душу населения. А раз так, то и среднего дохода в размере 300 тысяч рублей (данные 2021 года) после выплат всех налогов в России никогда не будет. Наш удел таков: 48000 рублей - размер средней заработной платы после уплаты НДФЛ (согласно данным Росстата по средней заработной плате в России за 2021 год).
Получается, что средняя зарплата в России в 6,25 раза меньше, чем в Норвегии. Это коррелирует с нефтяными доходами на душу населения, который в Норвегии в 8,46 раза больше, чем в России.
6,25 раза, а не 8,46 раза - это потому, что мы ещё и газ, уголь и прочие полезные ископаемые экспортируем, чего в Норвегии практически нет. Это, конечно, увеличивает конечный ресурсный доход на душу населения в России, но догнать сырьевые страны по уровню жизни в таких условиях Россия никогда не сможет.
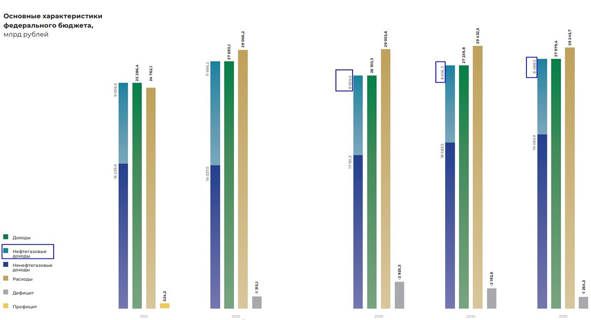
Радует только то, что в правительстве начали осознавать всю суть проблемы, и, согласно планам бюджета, зависимость от поставок нефти будет уменьшаться.
Основные характеристики Федерального Бюджета на 2023 год.
В заключение будет банальная, но математически выверенная мысль, о которой говорят последние 15 лет: ресурсы России должны идти на создание экономических ценностей внутри страны, создавая продукты и услуги с высокой добавочной стоимостью. Только так мы сможем сравняться по уровню покупательной способности населения с подобным показателем в развитых странах. Именно поэтому в предыдущей статье я и написал, что экспорт природных ресурсов России должен быть сведён практически к нулю уже через 10-15 лет и переориентирован на внутреннее потребление. В противном случаи благосостояние россиян расти не будет, а экономика России не перейдёт на новый технологический уклад.
С математической точки зрения (да и с материальной - тоже) Россия должна расходовать ресурсы для развития собственной экономики, а не для экспорта в другие страны. Мы - страна, которая не нуждается и не будет нуждаться, в отличие от других развитых стран, в импорте большинства первичных ресурсов, особенно углеводородного сырья - самого необходимого ресурса, который лежит в основе развития внутреннего потребления и роста экономик любой страны.
- Так что утверждение, что "в России нефти больше, чем воды" - в корне неверно.
- Наиболее продуктивная, по мнению некоторых, экономическая модель в России на основе сырьевого экспорта - это бред сумасшедшего.
- А то, что в России невыгодно развивать производство и выстраивать потребление на основе собственных ресурсных источников - это вообще мнение изменщиков родины.
Статьи выходят благодаря поддержке подписчиков-спонсоров. Для спонсоров всегда открыто приватное обсуждение, все ссылки на источники и исследования используемые в основе моих статей. Спасибо друзья за поддержку канала!
Комментарии
Нельзя на ночь такое выкладывать!
Мы все умрем, да, господин хохол?))))
Или еще немного помучаемся?)))
мы уже все умерли , он просто не в курсе
опять Россия особенно как то быстро умирает
Краткое содержание поста по смыслу примерно такое же:
либероидная параша от чубатого
этой простыней только задницу подтереть
Так на то и расчет: куча графиков с какими-то дурацкими показателями, масса нестыковок.
Самое смешное што фотка с "обманутыми владчиками" - это фаны Навального, которым он обещал 10 000 евров за посадку )))
Это число каких пиратов? Убитых в год или на душу населения планеты или действующий состав?
Повешенных жеж.Остальные считаются мирными торговцами от ФРС)))
😁😁😁
Точно.
Хоспаде, он еще данными федерального бюджета оперирует для среднесрочных и долгосрочных перспектив. Открой для себе консолидированный бюджет.
В статье Киевлянина также не учтено влияние отторжения от России ее земель, в которые она вложила огромные ресурсы за века. То есть по сути влияние грабежа. Пример грабежа - существование Украины, которую 30+ лет разворовывают, а украинского там нет ничего. Вот так строишь, строишь, бах, все труды в никуда, и начинаешь опять строить, строить.
Хохлы учат русских жизни? Смешно.
В очередной раз так забавно читать от них
по моим оценкам бритишей хватит тысяч 200-300 - сеть рыбацких поселков, пара транзитных портов с судрембазой и пабами, вахтовые поселения нефтьгазугольдОбычи... олово помаленьку... вересковый мед? нет, его пролюбили... собственно всё, ну плюс Робин Гуд и его банда человеков в 30, больше никаких смыслов для существования этой сволочи нету
А вот не соглашусь - маловато! Маловато будет инглишей.
Рыбаки, мореманы, портовые, пабы и прочие Робин Гуды - это всё так, всё верно, но вот кто будет рОстить ячмень? А?
На тот же эль? И это не говоря ещё про наивысшее англицкое достижение поистине всемирного масштаба - вискарик? С такой численностью, что Вы предлагаете, мы его, виски, потеряем. Это же будет трагедь!
Так шта на порядок поболее аборигенов надо.
не не не, аполитично мыслите, товарищь!
ячмень - пусть, соглашусь, чего земле в запустении стоять, но сколько той Наглии? тыщ сто колхозников адназначна хватит!
а варить и этикетки клеить будем здеся, с помощью обжёненых на бурятках и мокше специалистов, чтоб не нарушать отчетность и получать маржу с передела!
короче максимум 500 тыщ, и то в порядке эксперимента!
Вискарик у шотландцев, тех надо отдельно считать.
Это какая-то новая наркота? Годовой ВВП малюсенькой Швейцарии... Чо серьёзно? Даякжешь.... Не то что китайцы, даже корейцы, весь наш хабар в воскресенье на сдачу от кимчи купили бы...

К бабке не ходи...
Не якобы, что оставляет некую надежду, а совершенно точно не говорила: проверено не один раз и у нас, и на Западе очень простым способом - интернет-поиском.
А считать Тэтчериху дебилкой - некошерно и неконгруэнтно.
А зачем в экономической (ну, допустим) статье фоточка от обиженных навальнят, которым Ололоша пообещал десятку килоевро в случае задержания...
...и, разумеется, кинул! - ?
Какие тезисы статьи иллюстрирует фотофакт кидалова Навальным своих последователей?
Уже с самого начала почему-то автоматически постулируется, что экономика России (и остальных тоже) - строго сырьевая. То есть кроме экспорта ресурсов другой деятельности нет вообще совсем. Это просто необходимое условие для подобных сравнений размеров экономик и оценок их перспектив, чтобы даже покупательную способность сравниваемых зарплат пересчитывать не было нужды.
Ах, вон оно что... Сегодня нищаем особенно сильно.
Аффтору не жаль потерянного времени?)))
Ему за это деньги платят.
Добавлю свои соображения. Правильно было бы для потомков сохранить природные богатства. А не распродавать, как алкоголик своё имущество.
Хотя в условиях, когда твои соседи закупаются оружием - деваться некуда.
А ещё экспорт теряет смысл, когда за него не платят и платить не собираются (или оплата сразу выводится из экономики страны).
Для криптоколонии любой экспорт имеет смысл , деньги "заработанные" оркскими инвесторами перекачиваются в БигБиз ( SNUFF, Пелевин 2011г ©)
Надо бы сохранить, но поздно.
Вот тут человек при соответствующей должности говорит, что рентабельных запасов нефти в стране осталось только до 2040 года. Ну а нерентабельные ни один дурак добывать не будет, это слишком затратно, лучше потратить деньги на переезд в тёплые края. Для примера: наследники Демидова купили поместья в Италии, а заводы на Урале загубили.
Ну а без горючего вся техника остановится, и мы поголовно погибнем. Надо бы каким-то образом заранее эвакуировать в Бразилию способную к деторождению русскую молодёжь
Что о чём, а вшивый о бане.
Только вот тех же староверов гонят из Бразилии. Они обратно возвращаются в Россию.
Забыл одно слово в этой фразе дописать - "разведанных". То что нефти осталось на 15-20 лет я слышу всю жизнь и даже до моего рождения такие статьи были.
Кстати, полно примеров, когда досуха выкачанные скважины через десяток лет снова полны нефти. Нефтедобыча Чечни через такой цикл уже три раза проходила, как раз сейчас третий только начинается. А самая старая в мире нефтяная скважина, расположенная в Баку, проработала более 150 лет - открылась в середине 19 века, закрыли в 21-м. По экологическим соображениям.
Помнится, по радио крутили песню со словами: "Вся жизнь впереди, надейся и жди".
А если не дождёшься?
А если срулишь в Бразилию, а это окажется бесполезно?
Перспективный чат детектед! Сим повелеваю - внести запись в реестр самых обсуждаемых за последние 4 часа.
А кто есть Костя Кочетов с Дзена? Джентльмен? А я нет....Одна оценка в 700 с копейками ярдов зелени запасов убила напрочь.)))
Бред, в огороде бузина, а в Киеве дятька.
Автор даже не знает, что иссякающий Гронинген иссяк и закрыт в 6 утра 1 октября 2023 г.., якобы из-за риска землетрясений. А полное закрытие месторождения состоится в 2024 г.. Так что, Гронингег фсё!
(Для "киевлянина": Гронинген, это Гронингенское газовое месторождение)))
И уж тем паче не знаком с "Треногой Макарова"
– А.А.Макаров (1990-1991): «Россия должна опираться на три континентальных рынка» (внутренний российский, экспортные европейский и азиатский, развивать энергетическую инфраструктуру, связывающие эти рынки и российскую ресурсную базу НВЭР, чтобы, при необходимости, иметь возможность маневра потоками). 1998: Евразийское энергетическое пространство (ЕЭП).
– до 2022 г. для РФ доминантой являлась "Большая Энергетическая Европа", а с 2022 г. — "(Большое) Евразийское Энергетическое пространство.
– Утрата рынка ЕС для РФ временна.
– Приоритетами для Внутреннего рынка РФ являются: энергоэффективность, вкл. энергетических, инвестиционных и климатических эффектов; Газ, в т.ч. ускоренная децентрализованная газификация/электрификация России к востоку от Урала и в Арктической зоне; Опора на собственные силы (суверенитет на природные ресурсы, означает интеллектуальный, технологический, финансовый суверенитет)
– "Поворот на Восток", не вынужденное, а объективно-обусловленное решение.
– "Доворот» на Восток-1": газификацияэлектрификация российского Зауралья и Арктической зоны.
– "Доворот» на Восток-2": энергетическая консолидация Евразии.
– Задача: энергетическая консолидация Евразии, смена "века США", не на "китайский век», а "Век Евразии" ("Большой Евразии", включая и ЕС, Ближний Восток и Север Африканского ...
(А.А. Конопляник, член Совета по внешней и оборонной политике, советник Генерального директора ООО «Газпром экспорт», член Научного совета РАН по системным исследованиям в энергетике, д-р экон.наук, профессор)))
PS Война идет за рынки и ресурсы, а также за умы. Ваш ум пока мы проиграли. Надеюсь, что пока.
Это годы жизни? И кто этот гениальный младенец с треногой?
Образовывайтесь сами, коуч ныне в цене.
За многим пафосом скрывается многая пустота.
"Многая пустота", вы не перестаете озадачивать, вам русский не родной? С "многая лета" перепутали? Или автопереводчик так исказил "абсолютную" ("абсолютую пустоту", кстати название книги С. Лема)?
Всё, всю ленту зафлудили — я сливаюсь.
Оу, блин, дошло — простите, Алексей Александрович Макаров, директор ИНЭИ РАН и академик РАН, д.з.н., ... родом из Смоленска, год рождения 1937. В мой заметке годичная артикуляция на дату выхода цитаты в его труде (я точно не запомнил).
Придет Счетовод и накидает в панамку за 15 млн.
Именно так. Чем выше передел, тем выше маржа. Единственно, что можно имея хороший военный зонтик перепродавать очень дорого серье, получая его обратно в виде товара с минимальной! маржой. То есть где-то гигантские автоматизированные заводы превращают нефть в товары народного потребления, при этом наценка на товар минимальна. А сырье дорогое. Но пока все наоборот...
Наоборот. Чем выше передел, тем выше убыток для России при экспорте такой продукции. Есть такая книга, "Почему Россия не Америка", а в ней глава "Передел". Советую прочитать.
Да, что вы подразумеваете под военным зонтиком? Оккупацию всей планеты нашими войсками?
Вообще, с точки зрения математики очевидно что имея значительную площадь территории - шанс найдти что-либо ценное повышается. Ну, есть надежда на успех. Но есть не вероятность а математически несомненно что с увеличением территории в 10 раз - даже найденное ценное месторождение будет "размазано" вдесятеро на эту итоговую площадь по результатам оценки.
То есть существуют маленькие страны которым повезло , и сильно.
...существуют маленькие и средние страны, которым не повезло.
Большая же страна обязательно будет иметь что-либо полезное из ископаемых, но в пересчёте на свою площадь - результат будет стремиться к среднему по планете (что и наблюдаем в РФ).
Это представляется самоочевидным и не было смысла писать такую большую заметку.
Но интересно другое - если Автор ориентируется на сырьевую модель экономики - то зачем правительство РФ проводит политику замещения коренного населения пришельцами из Средней Азии? Получается, что доля в доходах от продажи нефти у коренного населения будет уменьшаться по мере их вымирания, а посторонним людям будет всё больше незаслуженных ими благ (из достижении у них разве что геноцид русскоязычных на своих окраинах). Причём с увеличением численности населения РФ , доходы на душу ,собственно,коренного населения будут падать.
Не, тут и Автор думает о коренном населении РФ плохо, и правительство РФ должно брать пример с ОАЭ по использованию труда гастарбайтеров, а не мечтать отомстить гражданам РФ за взятие Казани в 1552 году!
А если Сибирь была независимым государством, то сразу сработало бы ваше утверждение
То есть напрашивает вопрос, что нужно искать оптимальное распределение и верстать бюджет.
Неа. Проблема масштаба - оставив себе 10% населения и 10% самой вкусной площади - сразу теряется субьектность и таким государством начинают помыкать более агрессивные и лучше вооружённые соседи. Явно (Африка) или деликатно (Норвегия).
Поэтому по-мне так лучше раскошелиться и на СЯС и на тайную полицию. Благо, их содержание можно переложить на сырьевую ренту.
Опять Россия погибает,ну ёмаё
И кто об этом рассуждает?
Киевлянин) нет слов! нет они есть,но исключительно матерные)
Плохо вы думаете о хохлах,недостаточно плохо).Кое кто оттуда уже примеряет "б\у пинджак гастербайтера в России"))).
Вообще не понял, ни содержания, ни смысла. Общеизвестные факты, вперемешку с пропагандой…
Ох-ты, какой благородный гнев полился прямо рекой на голову дерзкого г. Кочетова! На основы посягнул, зараза! На прекрасное и удивительное устройство нашей экономики, которое сделало миллиардерами столько уважаемых людей, (которые, правда, не хотят быть гражданами России). Полагаю, что тренд подобных размышлений - очень полезен и должен быть продолжен, чтобы изменения, которые так необходимы нашей экономике, находящейся в осаде и подвергающейся жесткой агрессии, соответствовали вызовам.
Страницы